Fragen   
Sortierung: 
17.12.2018
 #5
avatar+15147 
0

 

hoffentlich kriege ich noch Antwort auf meine Fragen.

Lieber Gast,

wir können leider nicht feststellen, welche Fragen von dir sind. Schreibe einfach ein Kürzel unter deine Fragen oder besser, werde Mitglied im Forum von  https://web2.0rechner.de

da hast du über das Nachrichtenzentrum noch bessere Möglichkeiten über ein Problem zu diskutieren. Es kostet keinen Cent, und du hast auch keine besonderen Pflichten. Die Aufgabe mit dem Benzinfass ist gelöst.

Schöne Adventstage und  Fröhliche Weihnachten wünscht mit herzlichen Grüßen an ein neues Mitglied

laugh  !

17.12.2018
 #1
avatar+12531 
+1
17.12.2018
 #1
avatar+26404 
+8

Gegeben sei die Funktion

\(f(x) = \dfrac{2}{1-x^2}\)
Zeigen Sie (mit vollständiger Induktion), dass die n-te  Ableitung von f von folgender Form ist:

\(f^{(n)} (x) = n! \left(\dfrac{1}{(1-x)^{n+1} }+ (-1)^n \dfrac{1}{(1+x)^{n+1}} \right)\)

 

Induktionsanfang für \(n_0\) gilt:

\(\begin{array}{|rcll|} \hline f^{(0)} (x) &=& 0! \left(\dfrac{1}{(1-x)^{0+1} }+ (-1)^0 \dfrac{1}{(1+x)^{0+1}} \right) \\\\ &=& 1\cdot \left(\dfrac{1}{1-x }+ 1\cdot \dfrac{1}{1+x} \right) \\\\ &=& \dfrac{1+x+1-x}{(1-x)(1+x) } \\\\ &=& \dfrac{2}{1-x^2}~ \checkmark \qquad f^{(0)} (x) = f (x)\\ \hline \end{array} \)

 

Induktionsvoraussetzung (I.V.):
Für ein beliebiges \(n \in \mathbb{Z}\) mit \(n \ge n_0\) gilt:

\(\begin{array}{|rcll|} \hline f^{(n)} (x) &=& n! \left(\dfrac{1}{(1-x)^{n+1} }+ (-1)^n \dfrac{1}{(1+x)^{n+1}} \right) \\ \hline \end{array}\)

 

Induktionsbehauptung: dann gilt auch für \((n+1)\)

\(\begin{array}{|rcll|} \hline f^{(n+1)} (x) &=& (n+1)! \left(\dfrac{1}{(1-x)^{(n+1)+1} }+ (-1)^{(n+1)} \dfrac{1}{(1+x)^{(n+1)+1}} \right) \\ \hline \end{array} \)

 

Induktionsschluss: \(f^{(n+1)} (x) = \left(f^{(n)}(x) \right)'\)

\(\begin{array}{|rcll|} \hline \left(f^{(n)}(x) \right)' &=& \left[ n! \left(\dfrac{1}{(1-x)^{n+1} }+ (-1)^n \dfrac{1}{(1+x)^{n+1}} \right) \right]' \\\\ &=& \Big[~ n! \left(~ (1-x)^{-(n+1)} + (-1)^n (1+x)^{-(n+1)} ~\right) ~\Big]' \\\\ &=& n! \Big[~\left(~ (1-x)^{-(n+1)} + (-1)^n (1+x)^{-(n+1)} ~\right) ~\Big]' \\\\ &=& n! \Big(~ -(n+1)(1-x)^{-(n+1)-1}\cdot (-1) + (-1)^n ( -(n+1))(1+x)^{-(n+1)-1}\cdot 1 ~\Big) \\\\ &=& n! \Big(~ (n+1)(1-x)^{-(n+1)-1} + (-1)^n (-(n+1))(1+x)^{-(n+1)-1} ~\Big) \\\\ &=& n!(n+1) \Big(~ (1-x)^{-(n+1)-1} + (-1)^n \cdot (-1)(1+x)^{-(n+1)-1} ~\Big) \\\\ &=& n!(n+1) \Big(~ (1-x)^{-(n+1)-1} + (-1)^n \cdot (-1)^1(1+x)^{-(n+1)-1} ~\Big) \\\\ &=& n!(n+1) \Big(~ (1-x)^{-(n+1)-1} + (-1)^{(n+1)}(1+x)^{-(n+1)-1} ~\Big) \\\\ &=& (n+1)! \Big(~ (1-x)^{-(n+1)-1} + (-1)^{(n+1)}(1+x)^{-(n+1)-1} ~\Big) \\\\ \left(f^{(n)}(x) \right)' &=& (n+1)! \left(~ \dfrac{1}{(1-x)^{(n+1)+1}} + (-1)^{(n+1)} \dfrac{1}{(1+x)^{(n+1)+1}} ~\right)~\checkmark \\ \hline \end{array}\)

 

 

laugh

17.12.2018
16.12.2018
15.12.2018
 #3
avatar+15147 
0

Ein Stahlfass mit Benzin drin, wo gefragt wird, bei welcher Temperaturerhöhung der Topf überlaufen wird.

 

Hallo Gast!

 

Im Tabellenbuch findest du die Formeln für

|Volumen nach Temperaturänderung|.

 

Für das Stahlfass gilt

\(V=V_{Fass}\cdot (1+3\cdot \alpha_{st}\cdot \vartriangle T)\)

\(V_{Fass}\) ist das Ausgangsvolumen des Fasses.

|\(\alpha_{st}\)| ist der Längenausdehnungskoeffizient von Stahl,

|\(3\cdot \alpha_{st}\)| ist der räumliche Ausdehnungskoeffizient von Stahl.

 

Für den Benzininhalt gilt

\(V=V_{Be}(1+\gamma_ {Be}\cdot \vartriangle T)\) 

\(V_{Be}\) ist das Ausgangsvolumen des Benzininhaltes.

|\(\gamma_{Be}\)| ist der räumliche Ausdehnungskoeffizient von Benzin.

 

Hier beginnt dein Nachdenken. Wenn das Benzin überlaufen soll, müssen die Volumina von Fass und Inhalt gleich sein. Du bildest eine Gleichung:

\(V_{Fass}\cdot (1+3\cdot \alpha_{st}\cdot \vartriangle T)=V_{Be}(1+\gamma_ {Be}\cdot \vartriangle T)\)

Das ist deine Gleichung, sie steht in keinem Tabellenbuch. Sie ist der Begin zur Lösung der Frage:

Bei welcher Temperaturänderung \(\vartriangle T\) läuft der Topf über.

Die Auflösung der Gleichung nach \(\vartriangle T\) hat Omi67 bereits vollzogen.

 

Lies nach unter

https://web2.0rechner.de/fragen/ich-habe-eine-gleichung-in-eine-aufgabenl-sung

 

Ich zeige noch einmal die Auflösung nach \( \vartriangle T \):

\(V_{Fass}\cdot (1+3\cdot \alpha_{st}\cdot \vartriangle T)=V_{Be}(1+\gamma_ {Be}\cdot \vartriangle T)\)    | Klammern auflösen

\(V_{Fass}+3\cdot \alpha_{st}\cdot \vartriangle T\cdot V_{Fass}=V_{Be}+\gamma_ {Be}\cdot \vartriangle T\cdot V_{be}\)

                       | Die Terme mit \(\vartriangle T\)  auf die linke, alle anderen

                        auf  die  rechte Seite.  Beim  Wechseln  der

                       Gleichungsseite ändert der Term sein Vorzeichen      

\(3\cdot \alpha_{st}\cdot \vartriangle T\cdot V_{Fass}-\gamma_ {Be}\cdot \vartriangle T\cdot V_{be}=V_{Be}-V_{Fass}\)

                     | \( \vartriangle T\)  ausklammern

\(\vartriangle T\cdot(3\cdot \alpha_{st}\cdot V_{Fass}-\gamma_ {Be}\cdot V_{be})=V_{Be}-V_{Fass}\)

                    | auf beiden Seiten durch \((3\cdot \alpha_{st}\cdot V_{Fass}-\gamma_ {Be}\cdot V_{be})\) dividieren

\(\large \vartriangle T=\frac{V_{Be}-V_{Fass}}{3\cdot \alpha_{st}\cdot V_{Fass}-\gamma_ {Be}\cdot V_{be}}\)

 

Grüße

laugh  !

Übrigens, auch Formeln sind Gleichungen. Jeder Term mit einem Gleichheitszeichen ist eine Gleichung.

15.12.2018
14.12.2018
 #6
avatar+26404 
+9

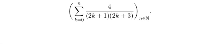
Hallo,

ich bräuchte dringends Hilfe.

Die Aufgabe lautet: bestimmen Sie mit Hilfe der Partialbruchzerlegung den grenzwert der folge.

nun habe ich versucht die Partialbruchzerlegung zu rechnen es kommt mir aber falsch rüber und ich komm bei den Rest der Aufgabe auch nicht mehr klar.

Danke im Voraus.

 

Wie berechne ich den Grenzwert der Folge ?

\(\begin{array}{|rcll|} \hline && \mathbf{\displaystyle \sum \limits_{k=0}^{n}\dfrac{4}{(2k+1)(2k+3)} } \\\\ &=& \displaystyle 4\sum \limits_{k=0}^{n}\dfrac{1}{(2k+1)(2k+3)} \\\\ &=& \displaystyle 4\sum \limits_{k=0}^{n} \dfrac12\left( \dfrac{1}{2k+1}-\dfrac{1}{2k+3}\right ) \\\\ &=& \displaystyle 2\sum \limits_{k=0}^{n} \left( \dfrac{1}{2k+1}-\dfrac{1}{2k+3}\right ) \\\\ &=& 2 \Big[ \left(\dfrac11 - \dfrac13\right)+\left(\dfrac13 - \dfrac15\right)+ \left(\dfrac15 - \dfrac19\right)+ \ldots \\ && +\left( \dfrac{1}{2n+1} - \dfrac{1}{2k+3}\right) \Big] \\\\ &=& 2 \Big[\mathbf{1} + \left(-\dfrac13+\dfrac13\right)+ \left(-\dfrac15+\dfrac15\right) + \left(-\dfrac19+\dfrac19\right) + \ldots \\ && + \left(-\dfrac{1}{2n+1}+\dfrac{1}{2n+1} \right) \mathbf{- \dfrac{1}{2n+3}} \Big] \qquad \text{Teleskopreihe} \\\\ \mathbf{\displaystyle \sum \limits_{k=0}^{n}\dfrac{4}{(2k+1)(2k+3)} }&\mathbf{=}& \mathbf{2 \left(1 - \dfrac{1}{2n+3} \right) } \\ \hline \end{array}\)

 

Grenzwert der Folge:

\(\begin{array}{|rcll|} \hline && \lim \limits_{n\to \infty} 2 \left(1 - \dfrac{1}{2n+3} \right) \\\\ &=& \lim \limits_{n\to \infty} \left(2 - \dfrac{2}{2n+3} \right) \\\\ &=& \lim \limits_{n\to \infty} \left(2 - \dfrac{2}{2n+3} \cdot \left(\frac nn \right) \right) \\\\ &=& \lim \limits_{n\to \infty} \left(2 - \dfrac{\frac{2}{n}}{2+\frac{3}{n}} \right) \quad | \quad n > 0! \\\\ &=& 2 - \dfrac{0}{2+0} \\\\ &=& 2 - 0 \\\\ &\mathbf{=}& \mathbf{ 2 } \\ \hline \end{array}\)

 

Der Grenzwert der Folge ist 2

 

laugh

14.12.2018
13.12.2018

1 Benutzer online

avatar