Fragen   
Sortierung: 
 #2
avatar+15139 
+2

Alle drei Kuchen liegen mit ihren Wölbungen nach oben. Die beiden unteren Kuchen liegen nebeneinander auf einer flachen Ebene und berühren sich in genau einem Punkt. Sie sind zwar unterschiedlich groß, aber der obere Kuchen, der auf den beiden unteren Kuchen liegt, hat genau die richtige Größe, sodass sein Durchmesser dem Abstand der beiden Berührpunkte mit den beiden unteren Kuchen an deren gemeinsamer Tangentialebene entspricht. Wenn der größere der unteren Kuchen das Volumen V1 = 15l hat und der kleinere von beiden das Volumen V2 = 10l , wie lautet dann die erste Nachkommastelle des Volumens V0 des oberen Kuchens? Gesucht ist natürlich die erste Nachkommastelle des Volumens?

Was ist der Rechenweg wenn die erste Nachkommstelle 2 ist?

 

Hallo Gast!

 

\(V=\frac{4}{3}\pi r^3\\ r=\sqrt[3]{\frac{3V}{4\pi }}\)

 

\({\color{blue}r_{15}=}\sqrt[3]{\frac{3\cdot {\color{blue} 2\cdot15dm^3}}{4\pi }}=\color{blue}1,92757321041\ dm\)

\({\color{blue}r_{10}=}\sqrt[3]{\frac{3\cdot {\color{blue}2\cdot 10dm^3}}{4\pi }}=\color{blue}1,68389030096\ dm\)

Der Durchmesser des oberen Kuchens ist die Kathete \(d_o\) eines rechtwinklichen Dreiecks mit den Katheten [\(r_{15}-r_{10}\)] und [\(d_o\)] und der Hypotenuse [\(r_{15}+r_{10}\)].

\(d_o=\sqrt{(r_{15}+r_{10})^2-(r_{15}-r_{10})^2}\\ d_o=\sqrt{(3,61146351137dm)^2-(0,24368290945dm)^2}\\ d_o=\sqrt{12,9832873336dm^2}\\ \color{blue}d_o=3,60323290027\ dm\)

\({\color{blue}r_o=}\frac{1}{2}d_o=\frac{1}{2}\cdot 3,60323290027dm=\color{blue}1,80161645014\ dm\)

\(V_o=\frac{1}{2}\cdot \frac{4}{3}\pi r_o^3=\frac{1}{2}\cdot\frac{4}{3}\pi \cdot (1,80161645014dm)^3\\ \color{blue}V_o=12,247448714\ dm^3\)

 

Die erste Nachkommastelle des Volumens \(V_o\) des oberen Kuchens ist eine 2, wenn die Einheit [dm] in der Rechnung verwendet worden ist..

laugh  !

06.01.2019
05.01.2019
 #2
avatar+301 
+1

Ich stimme Asinus in gewisser Weise zu:

 

Wenn ich mit einer Funktion arbeiten soll, erwarte ich eigentlich etwas wie "f(x) = x²+2x+1" oder so.

 

Wenn das von Dir genannte eine Funktion ist wie "f(x) = (2x³ - 3xy + y³)²", dann würde x die sich ändernde Größe sein und y (glaube ich) ein variabler Koeffizient, der halt die Funktion zu einer Funktionsschar macht. Man könnte dann aber Extremwerte, Wendepunkte und sowas immer nur in Abhängigkeit von y bestimmen.

 

Wie auch immer: Ein globales Maximum bzw. Minimum ist an dem Punkt, wo die Funktion ihren kleinsten bzw. höchsten Wert hat.

 

Beispiel:

 

Du hast eine Funktion, deren Graph von links oben aus der positiven Unendlichkeit kommt und rechts oben in die positive Unendlichkeit verschwindet.

Diese Funktion muss irgendwo zwischen diesen beiden Unendlichkeiten ein Minimum haben, dass so klein ist, dass kein anderer möglicher Wert dieser Funktion jemals kleiner wird.

 

Das ist dann das globale Minimum. Das weiß ich sicher. Umgekehrt kann es natürlich ein globales Maximum geben, wenn Du bei dem gerade Gesagten "positive Unendlichkeit" jeweils durch "negative Unendlichkeit" und "oben" durch "unten" ersetzt.

 

Wenn Du eine Funktion hast, die von links oben aus der positiven Unendlichkeit kommt und rechts unten in die negative Unendlichkeit verschwindet, gibt es kein bestimmbares globales Maximum oder Minimum (meiner Meinung nach, vielleicht gibt es dann ja irgendeine Definition, die mir nur nicht bekannt ist), weil Du für jeden denkbaren Wert immer noch einen kleineren bzw. größeren finden wirst, indem Du einfach ein noch größeres oder kleineres X wählst.

05.01.2019
04.01.2019
 #6
avatar
+1

"Hallo,

du kannst jedwede Zahl oder Variable addieren, subtrahieren, multiplizieren, dividieren usw., Hauptsache, du machst es immer auf beiden Seiten der Gleichung.

Nur dann bleiben auch beide Seiten gleichwertig. In diesem Sinne kannst Du durchaus auch beide Seiten mit *-1 nehmen.

 

Es steht dann nach Schritt 3:

(4*S/π) * (-1) = (D² - d²) * (-1)  | (Die Kammern sollen deutlich machen, dass die Rechenoperation für alles auf einer Seite gilt.)

4*S/π * -1 = D² - d² * -1 wäre nämlich falsch, weil dies dann bei einer reinen Punktrechnung (Multiplikation und Division) links zwar noch richtig wäre -4*S/π, rechts stünde dann aber D² + d², weil -d² *-1= +d² (Rechenregeln "Minus x Minus = Plus" und "Punkt- vor Strichrechnung").

 

Hoffe, dass Du dass noch nachvollziehen kannst, besser kann ich's grad' nicht ausdrücken:

 

Es steht also:

(4*S/π) * (-1) = (D² - d²) * (-1) | ausrechnen

-4*S/π = -D² + d² | +D²

-4*S/π + D² = d²  | oder anders geschrieben

+D² - 4*S/π = d²  | oder erst das rechte, dann das linke mit +D² = D²

d² = D² - 4*S/π    | √

√(d²) = √(D² - 4*S/π) 

d = √(D² - 4*S/π)  | Dies entspricht der blauen Zeile von Antwort 1

 

Noch mal zur *(-1). Warum *(-1) ? Das Ziel ist ja, auf d = ... zu kommen. Da in Schritt 3 vor dem d² ein Minus steht, kann man mit "Minus x Minus = Plus" auf +d² kommen, danach muss man "nur noch" die Wurzel ziehen, um auf einer Seite auf d zu kommen. Denn es gilt ja √(d²) = d.

Versuch, Dir noch mal die Grundrechenregeln anzugucken, z.B.https://www.grund-wissen.de/mathematik/arithmetik/grundrechenarten-und-rechenregeln.html; und hier dann ab "Steht vor einer Klammer ein Pluszeichen , so [...]".

 

Hoffe, ich konnte Dir etwas helfen.

04.01.2019
 #5
avatar+12531 
+1
04.01.2019
 #1
avatar+15139 
+2

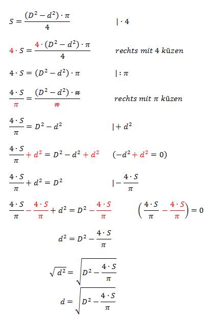
Schritt für Schritt zeigen, wie man die Formel nach d umstellt.

\(S=(D^2-d^2)\times\pi /4\)

 

Hallo Meister,

bitte befolge auf jeder Seite der Gleichung, also links und rechts vom Gleichheitszeichen, den Befehl, der nach dem Strich   |    hinter einer Zeile steht. Dann entsteht daraus die nächste Zeile.

 

\(S=(D^2-d^2)\times\pi /4\)        | multipliziere mit 4  (auch so:   | *4)

\(4\times S=(D^2-d^2)\times\pi \)     | dividiere durch \(\pi\)   (oder   | /\(\pi\))

\(\frac{4\times S}{\pi}=D^2-d^2\)                   | * (-1)

\(-\frac{4\times S}{\pi}=d^2-D^2\)                | + \(D^2\)           

\(D^2-\frac{4\times S}{\pi}=d^2\)                   | Ziehe die Wurzel

\(\sqrt{D^2-\frac{4\times S}{\pi}}=d\)                 | Seiten vertauschen  

\(d=\sqrt{D^2-\frac{4\times S}{\pi}}\)

 

Mit der Methode, auf jeder Seite das Gleiche (das für das Umstellen Nützliche) zu tun, kannst Du jede Formel zur gewünschten Variablen umstellen.

Das für das Umstellen Nützliche muss von Dir selbst mit logischem Denken

bestimmt werden.

In der Praxis schreibt man nichts hinter die Zeile. Man bringt die Variable mit dem gegenteiligen Rechenzeichen rüber auf die ander Seite. Das kommt mit der Übung dann ganz von selbst.

 

Ich multipliziere mit 4, weil ich d² alleinstehend haben will. Da steht aber eine 4, die stört

Ich dividiere durch \(\pi\) , weil da ein \(\pi\) neben der Klammer (D² - d²) steht. Das stört.

Ich multipliziere mit (-1), weil vor dem d² ein Minus steht. Das stört. Multiplizieren mit (-1)  ändert die Vorzeichen. Aus + wird - und aus - wird +.

Ich addiere D², weil neben dem d² ein...

laugh  !

04.01.2019

3 Benutzer online

avatar
avatar
avatar