Fragen   
Sortierung: 
16.09.2018
 #3
avatar+15147 
0
16.09.2018
15.09.2018
 #1
avatar+15147 
+1

Näherungsweise folgende Funktionsgleichungen:

 

f( x)=  -0,002xhoch2+ 25         g( x)= 0,0036xhoch2

 

a. Geben SIe die beiden Funktionsgleichungen in der Scheitelpunktform an.

b. Der Brückenbogen von f verläuft durch den Punkt {10|24,8}. Weisen Sie nach, dass der Punkt auf dem Graphen der gegebenen Funktion f{x} liegt.

c. An der Stelle x = 40 muss eine Stützstrebe erneuert werden. Berechnen Sie die Mindestlänge der benötigten Stützstrebe

d. Berechnen Sie die Mindestlänge eines Brückenspfeilers oberhalb der Fahrbahn.

e. Bestimmen Sie die Länge zwischen den beiden Brückenpfeilern.

 

Hallo Gast!

 

a)

\(f(x)=-0,002x^2+25\\ S(d|e)\\ S(0|25)\\ a=-0,002\\ d=0\\ e=25 \)

Scheitelpunktform \(f(x)=a(x-d)^2+e\\ \color{blue}f(x)=-0,002(x-0)^2+25\)   

 

\(g(x)=0,0036x^2\\ S(d|e)\\ S(0|0)\\ a=-0,0036\\ d=0\\ e=0\)            

Scheitelpunktform \(g(x)=a(x-d)^2+e\\ \color{blue}g(x)=-0,0036(x-0)^2+0\)  

 

b)

f(x)=y=-0,002x^2+25

P(10|24,8)

\(f(x)=y=-0,002x^2+25\\ y=24,8\\ x=10\\ 24,8=-0,002\cdot 10^2+25\\ 24,8=24,8\\ \color{blue} q.e.d.\)

Der Punkt P(10 | 24,8) liegt auf dem Graphen von f(x).

 

c)

\(L=f(x=40)-g(x=40)\\ L= (-0,002\cdot 40^2+25)-(0,0036\cdot 40^2)\\ \color{blue} L=16,04\)

Die benötigte Stützstrebe muss mindestens16,04m lang sein.

 

d)

\(f(x)=g(x)\\ -0,002x^2+25=0,0036x^2\\ (0,0036+0,002)x^2=25\\ x=\sqrt{\frac{25}{0,0056}}\\ \color{blue}x=66,81531\)

 

\(L=g(66,81531)=0,0036\cdot 66,81531^2\\ \color{blue}L=16,071\{m\}\)

Die Mindestlänge eines Brückenpfeilers ist 16,071 m.

 

e)

Aus d) ergibt sich die halbe Länge zwischen den Brückenpfeilern mit

\(x=66,81531\) . Das verdoppelt ergibt

die Länge zwischen den Brückenpfeilern ist = 133,631m.

 

Gruß

laugh  !

15.09.2018
13.09.2018
 #3
avatar+26404 
+8

b)

(-2x) * (4-3x^2)^-2 dx Grenzen 1 und -1 durch Substitution.

 

Integral

\(\displaystyle \int \limits_{-1}^{1} \dfrac{-2x}{ (4-3x^2)^2 } \ dx = \ ?\)

 

\(\begin{array}{|lrcl|} \hline \displaystyle \int \limits_{-1}^{1} \dfrac{-2x}{ (4-3x^2)^2 } \ dx = \ ? \\ & \text{Substitution:}\\ & \mathbf{z} &\mathbf{=}& \mathbf{ 4-3x^2 } \\ & dz &=& -6x \ dx \\ & \mathbf{dx} &\mathbf{=}& \mathbf{-\dfrac{1} { 6x } \ dz} \\ \hline \end{array}\)

 

Stammfunktion:

\(\begin{array}{|lcl|} \hline \displaystyle \int \dfrac{-2x}{ (4-3x^2)^2 } \ dx \\\\ &=& \displaystyle \int \left( \dfrac{-2x}{ z^2 }\right) \cdot \left(-\dfrac{1} { 6x } \right) \ dz \\\\ &=& \displaystyle \dfrac13\cdot \int \dfrac{1}{ z^2 } \ dz \\\\ &=& \displaystyle \dfrac13\cdot \int z^{-2} \ dz \\\\ &=& \displaystyle \dfrac13\cdot\left( \dfrac{z^{-2+1} }{-2+1} \right) +c \\\\ &=& \displaystyle -\dfrac13\cdot z^{-1} +c \\\\ &=& \displaystyle -\dfrac{1}{3z} +c \\\\ & \text{Rücksubstitution:} \\ &=& \displaystyle -\dfrac{1}{3(4-3x^2)} +c \\\\ \hline \mathbf{\displaystyle \int \limits_{-1}^{1} \dfrac{-2x}{ (4-3x^2)^2 } \ dx} \\ &=& \displaystyle -\dfrac13 \cdot \left[ \dfrac{1}{4-3x^2} \right]_{-1}^{1} \\\\ &=& \displaystyle -\dfrac13 \cdot \left[ \dfrac{1}{4-3\cdot 1^2} - \dfrac{1}{4-3\cdot (-1)^2} \right] \\\\ &=& \displaystyle -\dfrac13 \cdot \left[ \dfrac{1}{1} - \dfrac{1}{1} \right] \\\\ &=& \displaystyle -\dfrac13 \cdot \left[ 1 - 1 \right] \\\\ &=& \displaystyle -\dfrac13 \cdot 0 \\\\ &=& \displaystyle 0 \\\\ \mathbf{\displaystyle \int \limits_{-1}^{1} \dfrac{-2x}{ (4-3x^2)^2 } \ dx} &\mathbf{=}& \mathbf{0} \\ \hline \end{array}\)

 

 

laugh

13.09.2018
 #2
avatar+26404 
+8
13.09.2018
11.09.2018
10.09.2018
 #5
avatar+15147 
0

Hallo, Guten Morgen!

 

Ich habe jetzt deine Originalgleichung

x+ (0,1x^2) / (x^2+10^-6,35x+10-16,68) = 10^-14/x + (10^-17,68) / (x^2+10^-6,35x+10^-16,68)

mit arndt-bruenner

http://www.arndt-bruenner.de/mathe/scripts/gleichungssysteme2.htm\(\)

analysiert.

Startwert 0,1

x = -0,10000044668359193
f1(x) = 2,7755575615628914e-17

Startwert 0,05

x = -0,10000044668359194
f1(x) = -1,3877787807814457e-17

Startwert 0,03

x = -0,10000044668359193
f1(x) = 2,7755575615628914e-17

Startwert 0,02

x = -0,10000044668359193
f1(x) = 2,7755575615628914e-17

0

f1(x) = -Infinity

Startwert -0,1

x = -0,10000044668359193
f1(x) = 2,7755575615628914e-17

 

Arndt-Bruenner ermittelt nur einen Abszissenwert desen Funktionswert nahe Null liegt:

x =  - 0,10000044668359193

Mit diesem Wert muss dass a-b-Verhältnis ermittelt werden.

Bis später.

laugh  !

10.09.2018
09.09.2018
 #1
avatar+15147 
0

                                                   ^ vergessen?

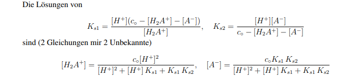
x+ (0,1x^2) / (x^2+10^-6,35x+10^-16,68)

= 10^-14/x + (10^-17,68) / (x^2+10^-6,35x+10^-16,68)

 

Hallo Gast!

                                                 

Aufgabe 1)

Wie löst man diese Gleichung nach x auf?

 

\(\Large x+\frac{0,1x^2}{x^2+10^{-6,35}x+10^{-16,68}} =\frac{10^{-14}}{x}+\frac{10^{-17,68}}{x^2+10^{-6,35}x+10^{-16,68}}\) 

 

\(\Large \frac{0,1x^2-10^{-17,68}}{x^2+10^{-6,35}x+10^{-16,68}}=\frac{10^{-14}}{x}-x\)

 

\(\Large \frac{0,1x^2-10^{-17,68}}{x^2+10^{-6,35}x+10^{-16,68}}=\frac{10^{-14}-x^2}{x}\)

 

\(x\cdot (0,1x^2-10^{-17,68})=(10^{-14}-x^2)\cdot (x^2+10^{-6,35}x+10^{-16,68})\)

 

\(0,1x^3-10^{-17,68}x \)

\(=10^{-14}x^2+10^{-14}\cdot10^{-6,35}x+10^{-14}\cdot 10^{-16,68}\\ -x^4-10^{-6,35}x^3-10^{-16,68}x^2\)

 

\(0=10^{-14}x^2+10^{-14}\cdot10^{-6,35}x+10^{-14}\cdot 10^{-16,68}\\ -x^4-10^{-6,35}x^3-10^{-16,68}x^2-0,1x^3+10^{-17,68}\)

 

\(-x^4-(10^{-6,35}+10^{-1})x^3+(10^{-14}-10^{-16,68})x^2\\ +10^{-20,35}x+10^{-30,68}+10^{-17,68}=0\)

 

\(-x^4-0,00000446684x^3+9,97910703869\cdot10^{-15}x^2\\ +4,46683592151\cdot 10^{-21}x+2,08929613085\cdot 10^{-18}=0\)

 

-x^4-0,00000446684*x^3+9,9791070369*10^(-15)*x^2

+4,46683592151*10^(-21)*x+2,08929613085*10^(-18)=0

 

Die Nullstellen liegen zwischen -0,3 bis 0,3. Sie waren für mich auch mit arndt-bruenner nicht korrekt zu ermitteln, weil die Funktionswerte in diesem Abszissenbereich extrem klein sind.

 

Frage an den Verfasser: Gibt es für diese Gleichung eine praktische Anwendung?

Gruß

laugh  !

.
09.09.2018
08.09.2018
07.09.2018

1 Benutzer online

avatar