Fragen   
Sortierung: 
 #1
avatar+26403 
+1

Bitte die Gleichung ist so weit als möglich vereinfachen.

 

\(\Large h=\dfrac{ \dfrac{2t}{c}+\dfrac{2}{g}-\sqrt{\left(\dfrac{2t}{c}+\dfrac{2}{g} \right)^2-4\cdot \dfrac{1}{c^2}\cdot t^2}}{2\cdot \dfrac{1}{c^2}}\)

 

\(\begin{array}{|rcll|} \hline h &=& \dfrac{ \dfrac{2t}{c}+\dfrac{2}{g}-\sqrt{\left(\dfrac{2t}{c}+\dfrac{2}{g} \right)^2-4\cdot \dfrac{1}{c^2}\cdot t^2}}{2\cdot \dfrac{1}{c^2}} \\\\ &=& \dfrac{ 2\cdot \left( \dfrac{t}{c}+\dfrac{1}{g} \right) -\sqrt{\left(2\cdot \left(\dfrac{t}{c}+\dfrac{1}{g}\right) \right)^2-4\cdot \dfrac{1}{c^2}\cdot t^2}}{2\cdot \dfrac{1}{c^2}} \\\\ &=& \dfrac{ 2\cdot \left( \dfrac{t}{c}+\dfrac{1}{g} \right) -\sqrt{4\cdot \left(\dfrac{t}{c}+\dfrac{1}{g}\right)^2-4\cdot \dfrac{t^2}{c^2}}}{2\cdot \dfrac{1}{c^2}} \\\\ &=& \dfrac{ 2\cdot \left( \dfrac{t}{c}+\dfrac{1}{g} \right) -2\cdot \sqrt{\left(\dfrac{t}{c}+\dfrac{1}{g}\right)^2-\dfrac{t^2}{c^2}}}{2\cdot \dfrac{1}{c^2}} \\\\ &=& \dfrac{ \dfrac{t}{c}+\dfrac{1}{g} - \sqrt{\left(\dfrac{t}{c}+\dfrac{1}{g}\right)^2-\dfrac{t^2}{c^2}}}{\dfrac{1}{c^2}} \\\\ &=& c^2 \cdot \left(\dfrac{t}{c}+\dfrac{1}{g} - \sqrt{\left(\dfrac{t}{c}+\dfrac{1}{g}\right)^2-\dfrac{t^2}{c^2}} \right) \\\\ &=& c \cdot \left[ c \cdot \left( \dfrac{t}{c}+\dfrac{1}{g} - \sqrt{\left(\dfrac{t}{c}+\dfrac{1}{g}\right)^2-\dfrac{t^2}{c^2}} \right) \right] \\\\ &=& c \cdot \left( \dfrac{ct}{c}+\dfrac{c}{g} - c\cdot \sqrt{\left(\dfrac{t}{c}+\dfrac{1}{g}\right)^2-\dfrac{t^2}{c^2}} \right) \\\\ &=& c \cdot \left( t +\dfrac{c}{g} - \sqrt{c^2\cdot\left[ \left(\dfrac{t}{c}+\dfrac{1}{g}\right)^2-\dfrac{t^2}{c^2} \right] } \right) \\\\ &=& c \cdot \left( t +\dfrac{c}{g} - \sqrt{ c^2\cdot \left(\dfrac{t}{c}+\dfrac{1}{g}\right)^2-\dfrac{c^2t^2}{c^2} } \right) \\\\ &=& c \cdot \left( t +\dfrac{c}{g} - \sqrt{ c^2\cdot \left(\dfrac{tg+c}{cg}\right)^2-t^2 } \right) \\\\ &=& c \cdot \left( t +\dfrac{c}{g} - \sqrt{ c^2\cdot \dfrac{\left(tg+c\right)^2}{c^2g^2}-t^2 } \right) \\\\ &=& c \cdot \left( t +\dfrac{c}{g} - \sqrt{ \dfrac{\left(tg+c\right)^2}{g^2}-t^2 } \right) \\\\ &=& c \cdot \left( t +\dfrac{c}{g} - \sqrt{ \dfrac{t^2g^2+2tgc+c^2}{g^2}-t^2 } \right) \\\\ &=& c \cdot \left( t +\dfrac{c}{g} - \sqrt{\dfrac{t^2g^2}{g^2} + \dfrac{2tgc}{g^2} + \dfrac{c^2}{g^2}-t^2 } \right) \\\\ &=& c \cdot \left( t +\dfrac{c}{g} - \sqrt{ t^2 + \dfrac{2tc}{g} + \dfrac{c^2}{g^2}-t^2 } \right) \\\\ &=& c \cdot \left( t +\dfrac{c}{g} - \sqrt{ \dfrac{2tc}{g} + \dfrac{c^2}{g^2} } \right) \\\\ \mathbf{h} & \mathbf{=} & \mathbf{ c \cdot \left( t +\dfrac{c}{g} - \sqrt{ \dfrac{c}{g} \left( 2t + \dfrac{c}{g} \right) } \right) } \\\\ \hline \end{array}\)

 

\(\ldots\) man könnte noch weiter vereinfachen:

\(\begin{array}{|rcll|} \hline h & = & c \cdot \left( t +\dfrac{c}{g} - \sqrt{ \dfrac{c}{g} \left( 2t + \dfrac{c}{g} \right) } \right) \\\\ & = & c \cdot \left( t +\dfrac{c}{g} - \sqrt{ \dfrac{c}{g} } \sqrt{ 2t + \dfrac{c}{g} } \right) \\\\ & = & c \cdot \left( t +\dfrac{c}{g} - \left(\dfrac{c}{g} \right)^{\dfrac{1}{2} } \sqrt{ 2t + \dfrac{c}{g} } \right) \\\\ & = & c \cdot \left( t +\dfrac{c}{g}\cdot \left(1 - \left(\dfrac{c}{g} \right)^{-\dfrac{1}{2} } \sqrt{ 2t + \dfrac{c}{g} } \right) \right) \\\\ & = & c \cdot \left[ t +\dfrac{c}{g}\cdot \left(1 - \left(\dfrac{g}{c} \right)^{\dfrac{1}{2} } \sqrt{ 2t + \dfrac{c}{g} } \right) \right] \\\\ & = & c \cdot \left[ t +\dfrac{c}{g}\cdot \left(1 - \sqrt{ \dfrac{g}{c} } \sqrt{ 2t + \dfrac{c}{g} } \right) \right] \\\\ & = & c \cdot \left[ t +\dfrac{c}{g}\cdot \left(1 - \sqrt{ \dfrac{g}{c} \left( 2t + \dfrac{c}{g} \right) } \right) \right] \\\\ & = & c \cdot \left[ t +\dfrac{c}{g}\cdot \left(1 - \sqrt{ \dfrac{2gt}{c} + \dfrac{gc}{gc} } \right) \right] \\\\ \mathbf{h} & \mathbf{=} & \mathbf{ c \cdot \left[ t +\dfrac{c}{g}\cdot \left(1 - \sqrt{ 1+ \dfrac{g}{c}\cdot 2t } \right) \right] } \\\\ \hline \end{array}\)

 

laugh

08.08.2018
07.08.2018
06.08.2018
05.08.2018
21.07.2018
20.07.2018
16.07.2018
14.07.2018
13.07.2018
12.07.2018
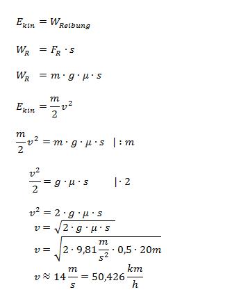
 #2
avatar+15140 
+1
12.07.2018
11.07.2018
06.07.2018
02.07.2018
01.07.2018
21.06.2018
20.06.2018
19.06.2018

0 Benutzer online