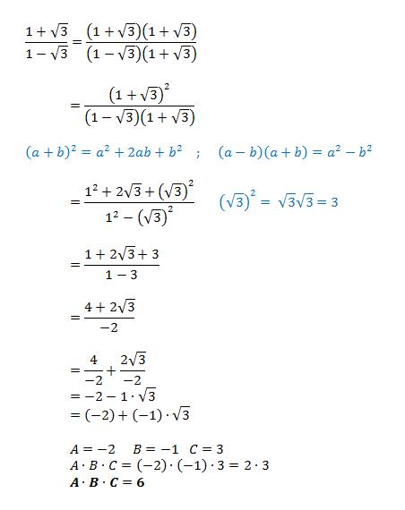
Hallo Trotzdem,
ich bin bei der Fragestellung davon ausgegangen, dass das Summenzeichen vergessen wurde. Mit Summenzeichen macht das alles einen Sinn.
Bei der vollständigen Induktion ist zu beweisen, dass die Gleichung auch für das (n+1). Glied gilt und somit für alle n.
