1. With a kettle, Peter warms up 1,2 litres of water (20°C) till it starts to boil. The power of the kettle is 2000 W. The heating up takes four minutes. The formula for specific heat of the water is 4,2 J/g · °C. How high is the efficiency of the kettle?

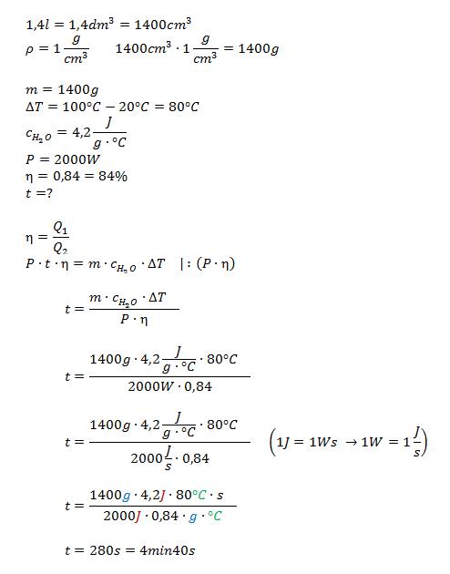
2. A kettle can contain 1,4 litres of water. The device has a power of 2000 W. The formula for specific heat of the water is 4,2 J/g · °C and the density is 1,0 g/mL. Calculate how long it would take before the kettle filled to the brim with water (20°C) would be boiling.

Q = E
