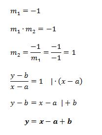
Perpendicular to y=-x+c and passes through (a,b)
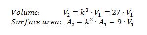
i need help getting the formula to resize a shape for a project i have the volume and surface area but i have no idea how to put that to make it a scale factor of 3
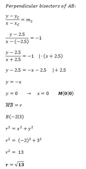
The points (-3,2) and $(-2,3)$ lie on a circle whose center is on the $x$-axis. What is the radius of the circle?
how much force does it take to push a 62.0 kg dresser at a constant speed across a carpet with µk=0.238. (unit=N)
a 3.05 kg block is sliding across the ground with μk=0.250. what is the friction force?
Hallo mathismyhobby,
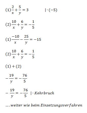
wieder im Lande? Ich habe das Einsetzungsverfahren benutzt.
Beim Additionsverfahren müsste man so anfangen:
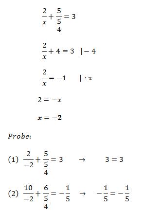
x und y müssen ungleich Null sein.
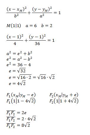
For the ellipse shown below, find the distance between the foci.
https://www.matheretter.de/geoservant/de/?draw=ebene(0%7C0%7C0%201%7C0%7C-1%200%7C1%7C-1)%0Apunkt(0%7C0%7C0%20%22Sx%22)%0Apunkt(0%7C0%7C0%20%22Sy%22)%0Apunkt(0%7C0%7C0%20%22Sz%22)
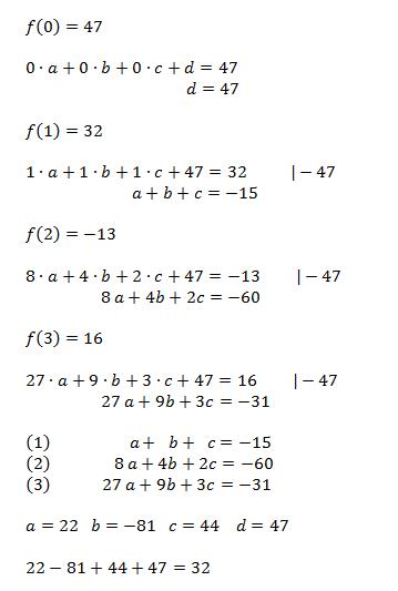
Suppose f is a polynomial such that f(0)=47, f(1)=32, f(2)=-13, and f(3)=16. What is the sum of the coefficients of f?
2x-5=3x-8 |-3x+5
-x=-3 |*(-1)
x=3