I am working on a sum, but get stuck...
hello, simplify without a calculator
What is this value of k ?
3x = 4x + 2 | - 4x
- x = 2 | * ( -1)
x = - 2
Compute $29^{13} - 5^{13}$ modulo 7
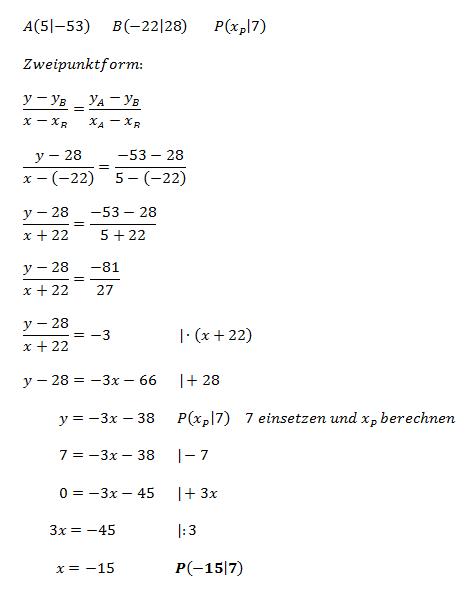
Bestimme die fehlende Koordinate.
P und q einsetzen
Lösungsweg für die hellblaue Gerade:
Fast alles stimmt.
Bestimme die Funktionsgleichung.