Lösungsweg für 0.125x24/36 x 2 24/36 x21/35 = ?
Du kannst dich ja noch mal melden, falls du noch Fragen hast.
Den Rest schaffst du alleine.
(1 - p) istdie Gegenwahrscheinlichkeit !
Polygon ABCD has the following vertices: A(-4, 2), B(3, 2), C(3, -5), and D(-4,-2) Calculate the area of the polygon.
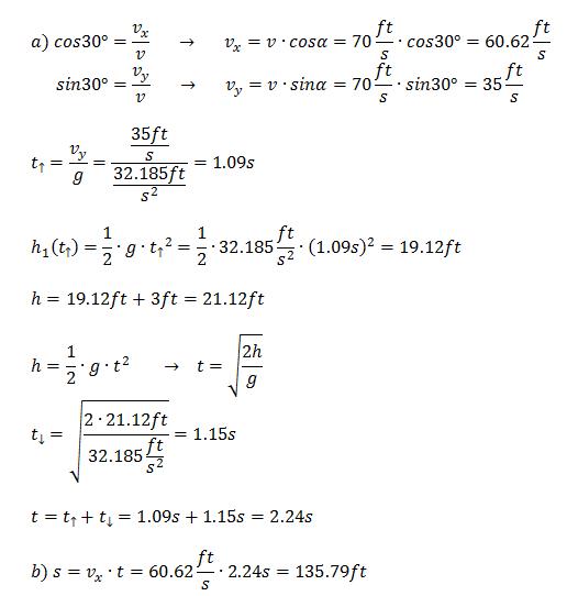
Here is my answer. This is how we do it in physics.
360° - 128° - 138° = 94°
94° : 2 = 47°
Pierre's unicycle wheel has a diameter of 80 cm. Pierre enters a 100 m unicycle race. How many times must the wheel rotate completely in order for Pierre to travel 100 m?
A vertical wheel with radius 50 cm rotates about an axle that is 60 cm above the ground. A marker is placed at the top of the wheel. The wheel completes one rotation every 4 s.