Find his distance from the Empire State Building to the nearest foot. Draw a right triangle.
Calculate the mass of A:
Find the measure of arc AB in degrees.
Find the value of x.
What is the surface area of the triangular prism?
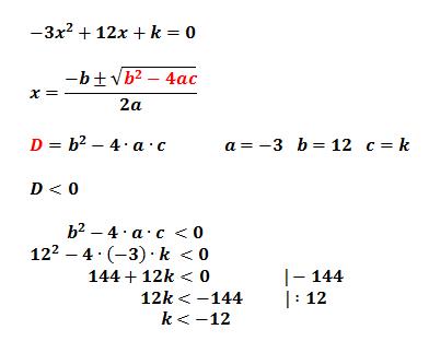
Determine the value of k for which -3x^2+12x+k=0 has no real roots.
What is the area of the triangle below?
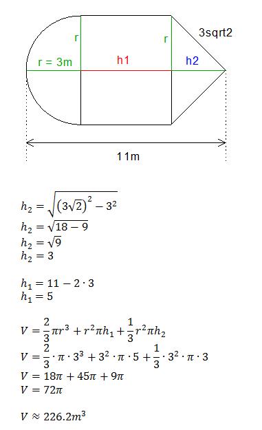
Find the approximate volume of the figure below, composed of a cone, a cylinder, and a hemisphere. If necessary, round your answer to the nearest tenth.
https://www.kapiert.de/mathematik/klasse-7-8/geometrie/koerper-untersuchen-2/zylinder-untersuchen/
Auf dieser Seite wird es erklärt.
Wenn etwas unklar ist, dann melde dich bitte noch mal.