Ich gebe dir mal einen Tipp. Da gibt es einen tollen Integralrechner:
Der rechnet alles aus mit Rechenweg und Erklärung.
Man kann unbestimmte und bestimmte Integrale berechnen.
Bei Aufgabe 4 musst du die Funktion integrieren und die Untergrenze und die Obergrenze aus der Zeichnugn ablesen.
Bei Aufgabe 4a wäre das x=0 und x= 4

Nun musst du von der Obergrenze die Untergrenze abziehen.

Die Betragsstriche nicht vergessen. Es kann auch mal ein negativer Wert rauskommen. Eine Fläche ist aber immer positiv.
Hier ist noch der Link zum Integralrechner:
https://www.integralrechner.de/
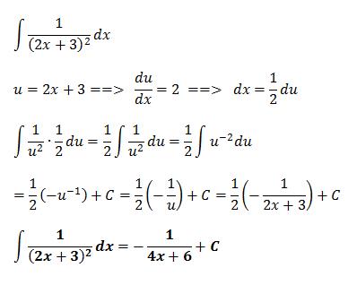
Ich mache mal noch die 10a)

und die 10b)


10c)

![]()