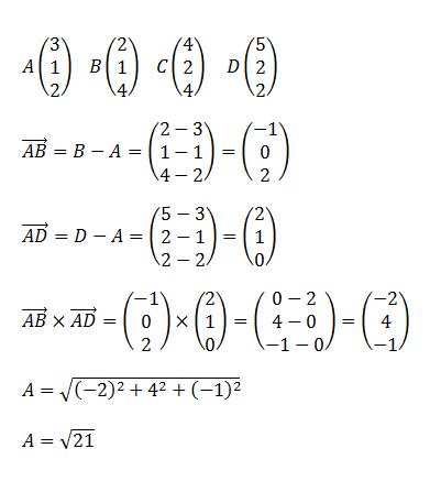
What is the area of the parallelogram?
2*36° + 48° = 120°
Given R(-6,19) and S(15,-5) , what are the coordinates of the point on segment RS two-thirds of the distance from R to S ?
Bei einer zweistelligen Zahl ist die Ziffer auf der Einerstelle doppelt so groß wie die Ziffer auf der Zehnerstelle.Vertauscht man die Ziffern, so entsteht eine um 27 größere Zahl.
Find the area of the trapezoid.
The lines y = -2x + 8 and y = x/2 - 2 meet at (4,0), as shown. What is the area of the triangle formed by these two lines and the line x = -2?
h(x)=−2x^(2)+4x+16,
What is the height of the ball at the time it is thrown
15/12*200 = 250
k = 5/4
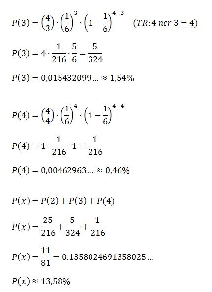
Ein Spielwürfel mit 6 Seiten wird 4-mal geworfen.
Wie berechnet man die Wahrscheinlichkeit, dass mindestens 2-mal die 6 getroffen wird?
Find the length DR.