Naja, ich muss ja den Punkten irgendeinen Namen geben. Ich hätte auch X,Y und Z nehmen können. Aber bei A', B' und C' weiß man, dass sie auf der selben Geraden liegen.
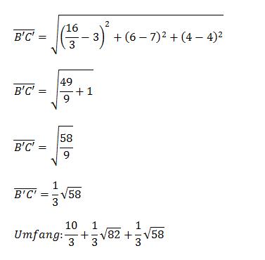
Mit B'C' hast du Recht. Da habe ich mich vertan. Obwohl ich höllisch aufgepasst habe, dass mir das nicht passiert. Aber bei so vielen Zehlen ...
Aber das Prinzip ist klar - oder? Auf dem letzten Meter Mist gebaut.
Korrektur:

Und so sieht die Schnittfläche aus.

