Wie kann mann dezimal multiplizieren?
m < 4sqrt10
m > -4sqrt10
Compute the sum of the vectors.
Number who walk to school = 16
cm*cm*cm = cm3
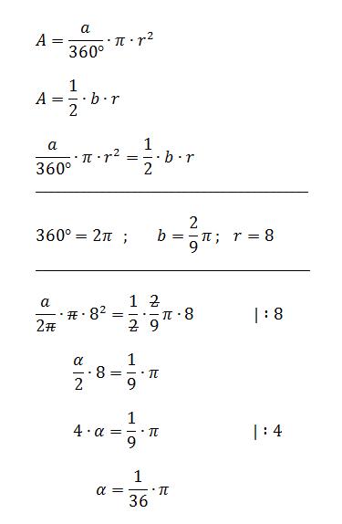
A central angle of a circle whose radius is 8 centimeters subtends an arc whose length is 2π/9 centimeters.
What is the radian measure of the central angle?
A hamster runs in its wheel whose radius is 3 inches. The wheel completes 6.3 revolutions in 5 seconds.
What is the linear velocity of the hamster's wheel?
Town A is 50 km south of town B. Town C is 120 km east of town B. Is it quicker to travel directly from A to C by car at 90 km h¡1 or from A to C via B in a train travelling at 120 km h¡1?
Sophie's favorite number is a two-digit number. If she reverses the digits, the result is 45 less than her favorite number. The sum of the digits in her favorite number is 11. What is Sophie's favorite number?
There are cars, trucks, and motorcycles in our company parking lot. The ratio of cars to trucks to motorcycles is 4:3:2 If there are 42 cars and trucks total, how many motorcycles are there?