Q2: f(x) = 4x^2+6 or 4x+6 ???
Q3:
y = 6x + 7
y = -5x - 1
y =1/4x - 8
Kannst ja alles noch mal nachrechnen. Vielleicht habe ich bei dieser Monsteraufgabe ja irgendwo einen Fehler gemacht.
https://www.matheretter.de/geoservant/de/?draw=vektor(0%7C0%7C0%208%7C6%7C0%20%22a%22)+vektor(0%7C0%7C0%202%7C8%7C2%20%22b%22)+vektor(8%7C6%7C0%20-6%7C2%7C2%20%22c%22)+punkt(4%7C6%7C6%20%22S%22)+punkt(0%7C0%7C0%20%22A%22)+punkt(2%7C8%7C2%20%22C%22)+punkt(8%7C6%7C0%20%22B%22)+vektor(0%7C0%7C0%204%7C6%7C6%20%22d%22)+strecke(8%7C6%7C0%204%7C6%7C6)+strecke(2%7C8%7C2%204%7C6%7C6)+ebene(-2%7C5%7C4%20-1%7C5%7C4%20-2%7C6%7C4)%23+punkt(-2%7C5%7C4%20%22K%22)+punkt(-1%7C5%7C4%20%22D%22)+punkt(-2%7C6%7C4%20%22E%22)+punkt(2.7%7C4%7C4%20%22A'%22)+punkt(5.3%7C6%7C4%20%22B'%22)+punkt(3%7C7%7C4%20%22C'%22)+dreieck(2.7%7C4%7C4%205.5%7C6%7C4%203%7C7%7C4)
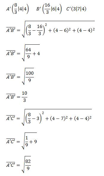
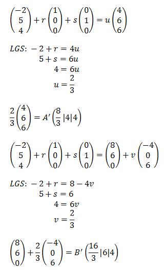
Die Schnittfläche ist ein Dreieck. Dazu brauchst du aber erst mal die Ebenengleichung. Lies dir doch mal richtig durch, was ich geschrieben habe.
Ich habe die Schnittpunkte der Pyramide mit der Ebene berechnet. Die Punkte stimmen. Ich habe es mit Geoknecht überprüft.
Baumdiagramm und Wahrscheinlichkeitsverteilung.
Das ist noch ein ganzes Stückchen Arbeit.
https://www.matheretter.de/geoservant/de/?draw=vektor(0%7C0%7C0%208%7C6%7C0%20%22a%22)+vektor(0%7C0%7C0%202%7C8%7C2%20%22b%22)+vektor(8%7C6%7C0%20-6%7C2%7C2%20%22c%22)+punkt(4%7C6%7C6%20%22S%22)+punkt(0%7C0%7C0%20%22A%22)+punkt(2%7C8%7C2%20%22C%22)+punkt(8%7C6%7C0%20%22B%22)+vektor(0%7C0%7C0%204%7C6%7C6%20%22d%22)+strecke(8%7C6%7C0%204%7C6%7C6)+strecke(2%7C8%7C2%204%7C6%7C6)+ebene(-2%7C5%7C4%20-1%7C5%7C4%20-2%7C6%7C4)%23+punkt(-2%7C5%7C4%20%22K%22)+punkt(-1%7C5%7C4%20%22D%22)+punkt(-2%7C6%7C4%20%22E%22)
Reicht es morgen auch noch? Bin müde.
Das Tippen dauert immer eine Weile.
https://www.matheretter.de/geoservant/de/?draw=vektor(0%7C0%7C0%208%7C6%7C0%20%22a%22)+vektor(0%7C0%7C0%202%7C8%7C2%20%22b%22)+vektor(8%7C6%7C0%20-6%7C2%7C2%20%22c%22)+punkt(4%7C6%7C6%20%22S%22)+punkt(0%7C0%7C0%20%22A%22)+punkt(2%7C8%7C2%20%22C%22)+punkt(8%7C6%7C0%20%22B%22)+vektor(0%7C0%7C0%204%7C6%7C6%20%22d%22)+strecke(8%7C6%7C0%204%7C6%7C6)+strecke(2%7C8%7C2%204%7C6%7C6)
Mit gedrückter linker Maustaste kannst du die Grafik drehen. Ich bin eben die Beste.
Auf deiner Tastatur findes du links unten die Taste mit den Zeichen >
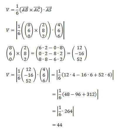
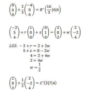
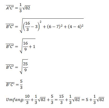
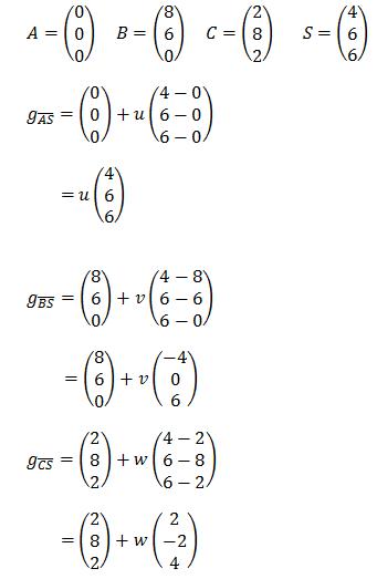
Punkt: A(0|0|0) , B (8|6|0), C(2|8|2) bilden die Grundfläche einer Pyramide mit der Spitze S (4|6|6).
Berechnen sie den Volumen dieser Pyramide.
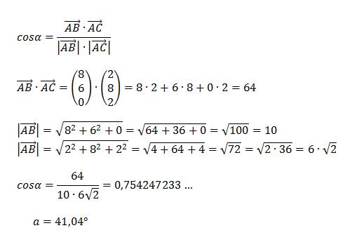
Wie groß sind die Innenwinkel der dreieckförmigen Grundfläche?
Der Rest kommt noch.