1) Find an equation for the line with vector form <5,-2>, + t<2,6> in the form y = mx + b
2) Find the value of k such that <-2,k> is the vector of the line with the equation y = (4x+1)/7
The asymptotes of a hyperbola are y=2x-3 and y=17-2x. Also, the hyperbola passes through the point Find the distance between the foci of the hyperbola. Once again, I would greatly appreciate any help given. Thanks!
5+1/2 = 5 1/2
Gib 5 ein und dann die ab/c - Taste verwenden und 1 ab/c - Taste 2 eigeben:. Gehe auf die 2nd Taste und du erhälst 11/2.
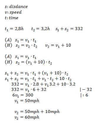
Sisters Helen and Anne live 332 miles apart. For Thanksgiving, they met at their other sister's house partway between their homes. Helen drove 3.2 hours and Anne drove 2.8 hours. Helen's average speed was 10 miles per hour faster than Anne's. Find Helen's average speed and Anne's average speed.
Meinst du phi? Das ist ein griechischer Buchstabe.
A) m = 2
B) m = 5
C) m = 1/2
D) m = 3/5
C) m = 5/3
A circle centered at $(0,-8)$ passes through the point $(2,-5).$ Find the equation of the circle. Write your equation in the form "$(x - h)^2 + (y - k)^2 = r^2$".
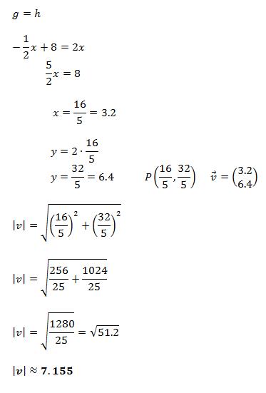
Find the minimum value of v.
Find the minimum value of |v|.
Die Komponentenschreibweise wurde oben bereits angewendet.