With pascal's triangel:
There are 450 seats in the lower level of a concert hall with b balcony seats in the upper level. So far, 170 tickets have been sold, which is 1/5 if the total number of seats in the concert hall. How many balcony seats are in the concert hall?
Annette needs 20 gallons of water with a 3.5% salt concentration for her fish tank. She has a 2% salt solution and a 10% salt solution. How many gallons of each solution does she need for her tank?
89 = 3.5n + 8 |-8
81 = 3.5n | :3.5
n = 6
465(x-25) = 315(x+25)
150x = 19500
x = 130
Lorraine and Dolores are in an event where they have to carry the same weight of items in order to advance to the next stage. Lorraine is carrying 5250g worth of items. Dolores is carrying 5/21 the weight that Lorraine is carrying. How much worth of items must Lorraine give to Dolores in order for them to have items of the same weight? (Leave your answer in grams)
Paper rectangle ABCD is folded in such a way that the fold passes through point B, and so A coincides with point H where H ∈ CD. BK is the folding line where K ∈ AD. m∠BKD = 120°. If BK = 28 cm, find BC.
(x+y)7=x7+7x6y+21x5y2+35x4y3+35x3y4+21x2y5+7xy6+y7
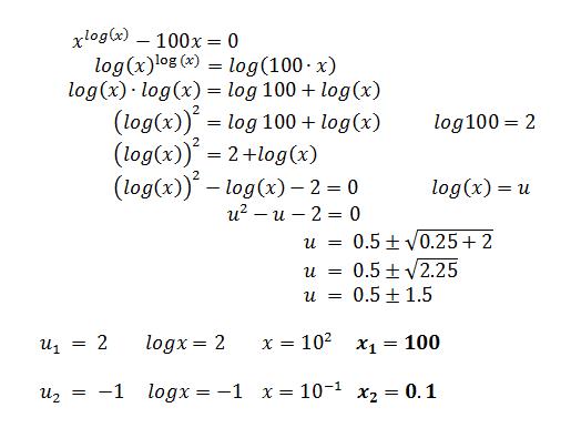
I have problem with this equal, can you please explain me how on it?
x^logx - 100x = 0
IF A+B=15,
B+C=20,
C+A=25
THEN
A+B+C ?