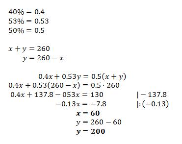
A 40% dye solution is to mixed with a 53% dye solution to get 260L of a 50% solution. How many liters of the 40% and 50% solutions will be needed.
Wieso ist wurzel2/2 das selbe wie 3/wurzel18
(3,-1) (1,3)
During a donation drive, Jaheem donated as much as 3/7 of the amount that Cason donated. Li Wei donated $49 more than Jaheem. How much did Cason donate if they donated $660 altogether?
A(−1, 1), B(2, 3), C(2, 1) 90∘ counterclockwise about vertex A
A rock is thrown upward with a velocity of 22 meters per second from the top of a 23 meter high cliff, and it misses the cliff on the way back down. When will the rock be 10 meters from ground level?
x/24 = 3/8
x = 3*24/8
x = 9
https://www.matheretter.de/wiki/bruche-subtrahieren
a stop sign is a regular octagon formed by cutting triangles off the corners of a square. if the stop sign measures 36 in from top to bottom. What is the length of each side of the octagon.
The red parabola shown is the graph of the equation $y=ax^2 + bx + c$. Find $a\cdot b\cdot c$.