13.80 - 7.40 = 6.40
6.40 : 2 = 3.20
arcsin(0,02)=1,145991998...°
Das sind rund 1,15°
Vielleicht hast du einen Zahlendreher gemacht.
I have them as images. I hope someone can figure them out.
The angles RCD and QPA are equal. The angles PAQ and CDR are right angles.
Need help with this
A cube whose side length is 5 is shown below. Let P be on edge AB such that AP = 2, and let Q be on edge AE such that AQ = 1. The plane passing through points C, P, and Q intersects DH at R. Find the length DR.
The “Mendelssohn" Stradivarius violin was estimated to be worth approximately $1,700,000 in 1990. The violin is expected to increase in value by approximately 7.5% each year. Estimate the value of the violin in the year 2010
A triangle has vertices at A(-7, 6), B(4,9), C(-2, -3). What are the coordinates of each vertex if the triangle is translated 4 units right and 6 units down?
R(−7,−5), S(−1,−2), T(−1,−5) Rotate 90° counterclockwise about the origin. Then translate 3 units left and 8 units up.
You see, how you have to calculate.
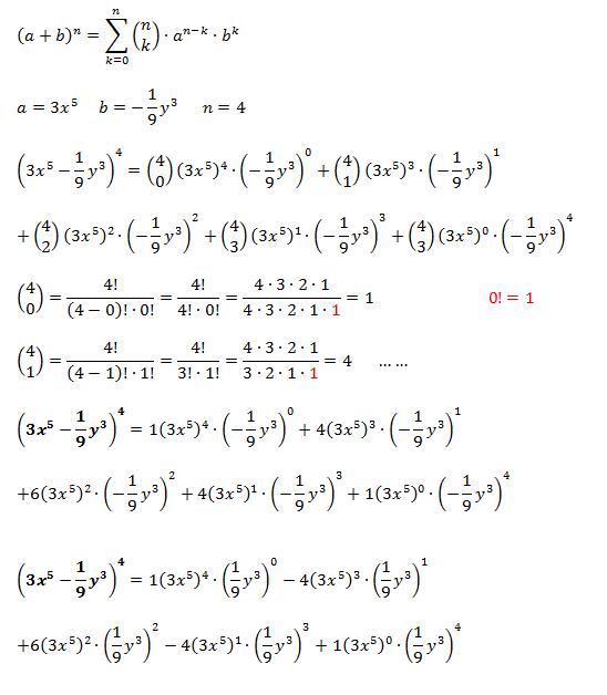
3. Harold uses the binomial theorem to expand the binomial. ( 3x^5-1/9 y^3)^4
a.What is the sum in summation notation that he uses to express the expansion
b.Write the simplified terms of the expansion.