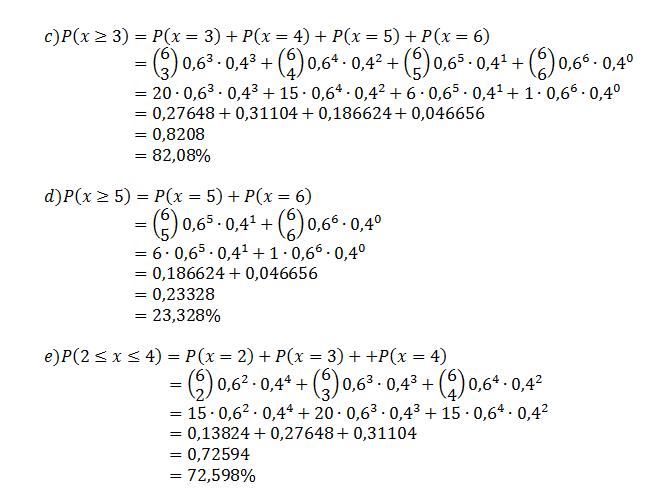
Die Wahrscheinlichkeiten mit dem Baumdiagramm zu bestimmen ist der mühsam. Rot ist Kopf und blau ist Spitze. Du musst 64 Pfade durchschauen.

Für a) gilt: Du musst die Anzahl der Pfade bestimmen, in denen 2-mal rot und 4-mal blau vorkommt , und dann mit dem Produkt der Wahrscheinlichkeiten multiplizieren. Es sind 15 Pfade
P(x=2)15*0,6*0,4*0,4*0,6*0,4*0,4=15*0,62*0,44
Den Baum kannst du rauskopieren. Den Rest auch. (Mit der rechten Maustasta anklicken)



