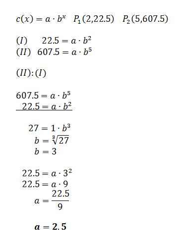
The graph of the function c(x) goes through the points (2,22.5) and (5,607.5). If this function can be written in the form c(x)=a(b)^x, what is the value of a in the equation?
The equation h = -16t^2 + 40t models the altitude a football will reach t seconds after it is kicked.
Holly selects a tile for her bathroom that is in the shape of a rhombus. Each side of the rhombus measures 12 inches. The diagonal opposite the smaller angle is 10.6 inches. What is the measure of the larger angle in the rhombus?
What is the approximate measure of the angle formed by this new guy wire and the ground?
Charles lives in a tall apartment building. He looks out his window and spots a car on the road that runs straight toward his building. His angle of depression to the car is 24°. Charles looks farther down the road and spots a dump truck. He estimates that the car is 800 feet in front of the dump truck. His angle of depression to the dump truck is 10°. How far above the ground is Charles's line of sight?
https://www.youtube.com/watch?v=l_ffdarcJiQ
John's farm silo is a right cylinder that is 35 feet high. Both the top and bottom base have a diameter of 22 feet. What is the approximate surface area of the metal used to make the silo?
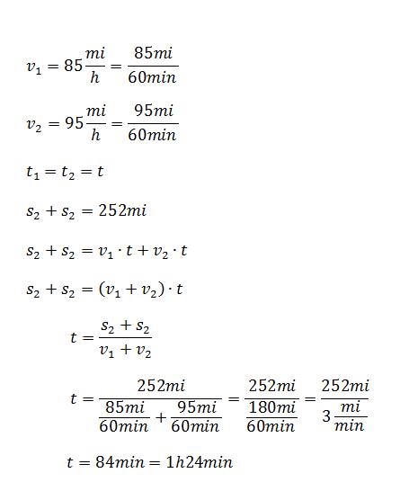
Two trains leave the station at the same time, one heading west and the other east. The westbound train travels at 85 miles per hour. The eastbound train travels at 95 miles per hour. How long will it take for the two trains to be 252 miles apart? Do not do any rounding.
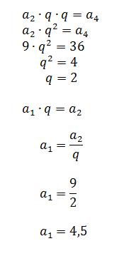
Von einer geometrischen Folge kennt man a2 = 9 und a4 = 36. Für diese Folge gilt
q = Antwort und a1 = Antwort
What is the lateral area of the cone?