https://www.gut-erklaert.de/mathematik/einheiten-umrechnen.html
Please Help
Das kommt aus dem Bereich der Kegelschnitte. Je nachdem, wie man einen Doppelkegel "durchschneidet", entsteht entweder ein Kreis, eine Parabel,
eine Ellispse oder eine Hyperbel.
https://learnattack.de/mathe/kegelschnitte
https://www.lernhelfer.de/schuelerlexikon/chemie/artikel/redoxreaktionen
Lies dir das durch.
Hier ist erst mal der Graph:
Es gilt Klammer vor Bruch vor Strich innere Klammer zuerst.
(10+5)*1 - (11+ (89 - 15)) =
10+5 - (11 + 89 -15)=
15 - 85 = - 70
Find the sum of the slope and $y$-intercept of the line through the points $(7,8)$ and $(9,0)$.
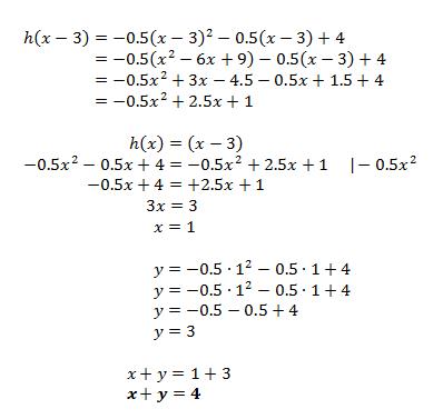
Below is a portion of the graph of a function, y=h(x):
If the graph of y=h(x-3) is drawn on the same set of axes as the graph above, then the two graphs intersect at one point. What is the sum of the coordinates of that point?
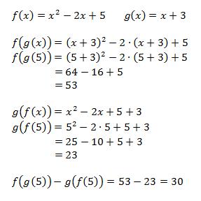
Given that f(x) = x^{2}-2x+5 and g(x) =x+3, what is the value of f(g(5)) -g(f(5))?