Welches Ergebnis???
rogelio necesita un tramo de tubo con una longitud que esté exactamente a la mitad de un tubo de 1 1/2m y otro de 2 5/8 ¿cuál es la longuitud del tubo?
How much greater is the average rate of change over the interval [5,7] than the interval [2,4]?
Let f(x) = -log(4x)+5
What is the average rate of change of f(x) from 3 to 8? Round to the nearest hundredth.
-0,09 sorry - typing errors
What is the number of centimeters in the length of the longer leg of the smaller triangle?
Links oben beim Rechner auf 2nd klicken, dann auf asin und den Wert eingeben.
Beispiel: 2nd => asin(0,5) = 30°
How to solve?
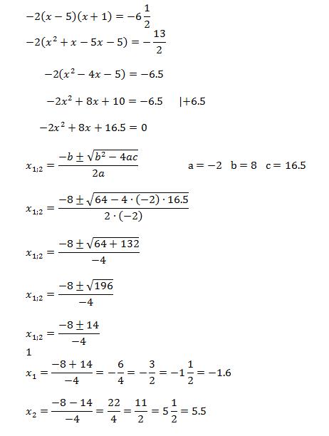
How do you solve this with the quadractic formula? I can't get past this.
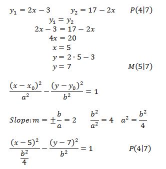
Find the distance between the foci of the hyperbola.
What is the value of x in the diagram above?