So musst du es eingeben:
Eine Minute hat 60s.
1000min = 1000*60s = 60.000s
Hallo IM,
man kann die Berechnungen mit EXCEL erledigen. Dann geht es schneller.
In the above graph you see the functions f(x) = (x+3)(x-3) , g(x) = 0,5x^2 and h(x) = x-3
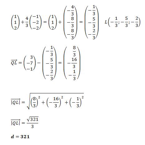
Find the distance between Q = (3, -7, -1) and the line through A = (1, 1, 2) and B = (2, 3, 4)
ABCD is an isoscles trapezium in which AD // BC, if BC=2AD=20cm and its area is 180, find the length of each of its legs.
Write the equation of the line that has a slope of 3 and passes through (1,7).
Write the equation of the line that passes through (-3, 1) and (5, 2).
A pyramid and a prism share the same base. The prism has 99 edges. How many edges (faces ??) does the pyramid have?
Here's the picture.