3*17=51
1.) Let f(x)=7x+5 and g(x)=x-1. If h(x)=f(g(x)), then what is the inverse of h(x)?
2.) If the point (3,6) is on the graph of y=g(x), and h(x)=(g(x))^2 for all x, then there is one point that must be on the graph of y=h(x). What is the sum of the coordinates of that point?
What is the slope of this line?
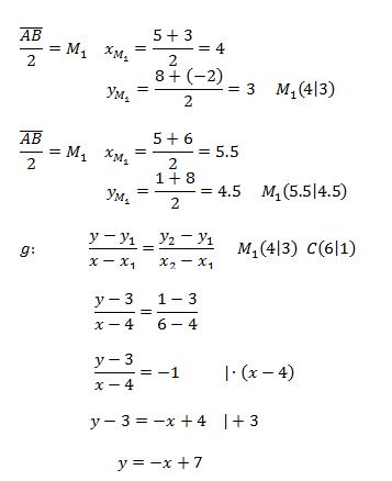
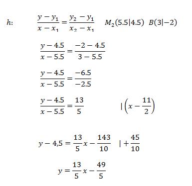
Triangle ABC has vertices at A(5,8), B(3,-2), and C(6,1). The point D with coordinates (m,n) is chosen inside the triangle so that the three small triangles ABD, ACD and BCD all have equal areas. What is the value of 10m+n?
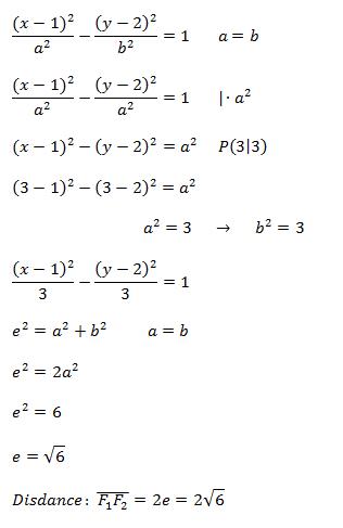
The asymptotes of a hyperbola are y=x+1 and y=3-x. Also, the hyperbola passes through (3,3). Find the distance between the foci of the hyperbola.
Finding side and angle measures: Find each missing measure (x) and round it to the nearest tenth.
1. Suppose a water tank in the shape of a right circular cylinder is thirty feet high and eight feet in diameter.
Ich hoffe, dass ich richtig liege.
In der Wirtschaft errechnen das Programme.
Dann sieht die Lösung so aus: