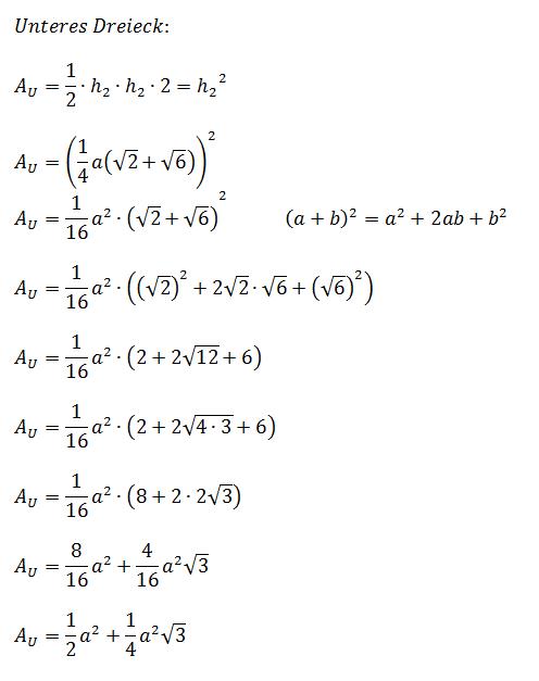
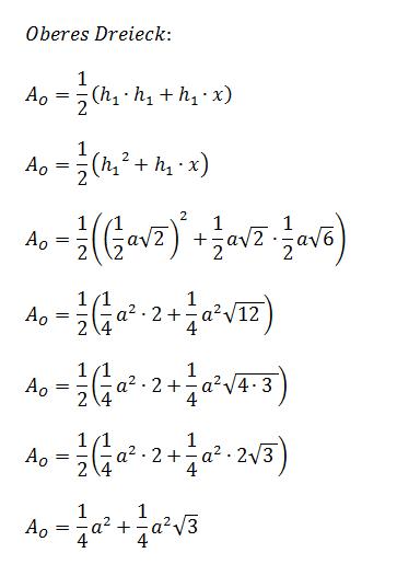
Berechnung der rosa Fläche:
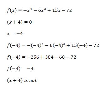
(x+4) is not.
Dein Ergebnis ist richtig.
Express answer in exact form. Show all work for full credit. A segment of a circle has a 120° arc and a chord of 8in. Find the area of the segment.
Hier noch die Kräfte.
Here is the answer:
Ich würde behaupten, man muss den Steigungswinkel mit dem Sinus ausrechen.
Man kann jetzt weider Bilder hochladen, Juhu
5+(−4)+(−7)+2=5-4-7+2
=1-7+2
=-6+2
`=-4
Multipliziere jeden Summanden der ersten Klammer mit jedem Summanden der zweiten Klammer und fasse anschließend zusammen, wenn möglich.
(9+k)(a-k)=9a-9k+ak-k2
(6-8b)(6y+8f)=36y+48f-48by-64bf
The question: