Zerlege in möglichst viele Faktoren.
Aufgabe 3.
Gegeben sei die Funktion f {x} = 0,5xhoch4 - 10xhoch2 + 32
a. Weisen sie rechnerisch nach, dass es sich um eine zur y -Achse symmetrische Funktion handelt.
b. Berechenen Sie die Nullstellen der funktion und begründen sie ihr Vorgehen.
Aufgabe 2.
Bestimmen Sie die Nullstellen der Funktionen.
a. f {x}= {x - 3}hoch2 ⋅ { x + 2} ⋅ {x - 1}
b. g {x} = 3xhoch4 + 3xhoch3 - 6xhoch2
B)9 meters
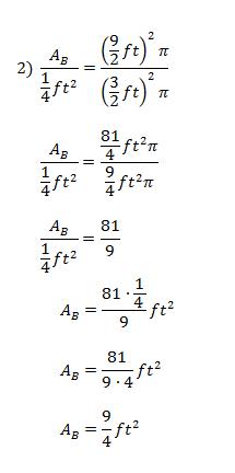
C)9/4π ft^2
If the area of the rectangle to be drawn is 90 square units, where should points C and D be located, if they lie vertically below A and B, to make this rectangle?
C(5|-5) D(-4|-5)
It is a trapezoid.
Do you recognize the surface now?
The tree is 34.7 feet tall.
Penny is 1 feet tall.
5(- 3x - 2) - (x - 3) = -4(4x + 5) + 13
So, die zweite Aufgabe ist auch fertig. Es wurde doch keine quadratische Gleichung.