Ihr rechnet doch sicherlich mit der Formel. G: Grundwert, P: Prozentwert, p: Prozentsatz
Wenn ich monatlich 25 Euro auf ein Sparkonto einzahle und eine jährliche Rendite von 5% erhalte, wieviel Euro habe ich nach 20, bzw. 30 Jahren?
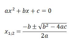
Wie ging nochmal die abc Formel ?
Der Rest kommt auch noch.
Du kannst bei diesen Aufgaben nicht alles mit dem Satz des Pythagoras berechnen. Sich alles alleine zu erarbeiten, ist nicht einfach. Ich werde dir b) und c) lösen. Du wirst sehen, wie einfach das ist.
a) stimmt
b) berechne den Umfang 2*a+2*b
c) multipliziere den Umfang mit 46,50€
400 l = 400 dm3 60 cm = 6 dm 1,80m = 18 dm =180 cm
r = 3dm
Die Tonne ist ein Zylinder.
a) V = r2*pi*h (Volumen)
b) M = d*pi*h (Mantel)
Den Rest schaffst du alleine.
b) Berechne mit dem Sinusatz die Seite b.
Berechne Gamma.
Berechne den Flächeninhalt mit: A = 1/2 *a*b*sin Gamma
c) tan30° = h : c/2 h =tan30°*c/2
A=1/2*c*h
Eine quaderförmigesSchwimmbad soll bis zum Rand mit Wasser
gefüllt werden.
a) Marie sagt: „ Da passen keine 600000 l rein“! - Hat sie recht?
b) Alle Seitenwände sollen neu gefliest werden.
Wie viel m² Fliesen werden benötigt?
Das Bild, welches du hochladen möchtest, muss auf deinem Computer gespeichert sein.
Klicke oben auf Bild - oder Hochladen - durchsuchen- das Bild anklicken (es ist dann blau unterlegt) - öffnen ich bin kein Roboter - hochladen - ok
Probiere es mal aus.