How to solve these algebraically?
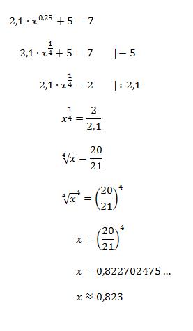
a)
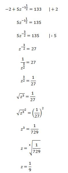
b)
On a road the number of cars and the number of lorries are in the ratio 10 : 1 the number of lorries and the number of vans are in the ratio 7:10 There are 50 vans on the road. How many cars are there on the road?
To complete a task in 16 days a company needs 5 people each working in 6 hours per day The company decides to have 8 people each working in 4 hours per day Assuming that each person works at the same rate,how many days will the task take to complete
A triangle with vertices A(3,-1) , B(-2,6) and C(5,4) is rotated 90 degrees clockwise about Vertex B. Find the co-ordinates of the image of vertex C
Unit circles are arranged as shown. Find the area of the shaded part.
A cone is circumscribed by a hemisphere radius of which is equal to the height of the cone. Calculate the ratio of the volume of the cone to the volume of the hemisphere.
a*3 = 3a
Ich komme auf der rechten Seite auch auf 75. Hast du deinen Fehler inzwischen gefunden? Wenn nicht, müsste ich dir mal die rechte Seite vorrechnen
.
A right prism has a base that is an equilateral triangle. The height of the prism is equal to the height of the base. If the volume of the prism is 81, what are the lengths of the sides of the base?
A chef plans to mix 100% vinegar with Italian dressing. The Italian dressing contains 12% vinegar. The chef wants to make 160 milliliters of a mixture that contains 23% vinegar. How much vinegar and how much Italian dressing should she use?