Ling lives 2 miles from school. It took him 15 minutes to bike from school to home. The first half of the distance he biked at a speed of 12 mph. What was his speed for the remaining distance? What was his average speed?
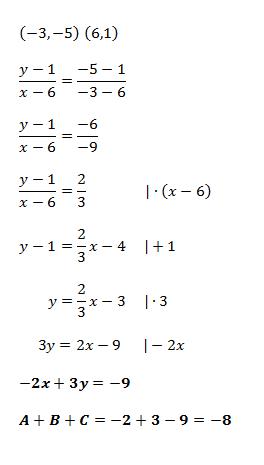
A line passes through the points (-3,-5) and (6,1). This line is the graph of the equation Ax + By = C, where A, B, and C are integers with greatest common divisor 1, and A is positive. Find A + B+ C.
(b) Let Gamma be the circumcircle of triangle ABC and let A' be the point on Gamma diametrically opposite A. Show that A' is also on the hyperbola xy=1.
P: 4x
C: x
4x - 198 = x + 66 |-x
3x - 198 = 66 |+198
3x = 264 | :3
x =88
4x + x = 5x
5*88 = 440
Stimmt, es ist spät. Aber du darft immer wieder deine Fragen stellen. Wir helfen gerne.
Use the identity a^3+b^3=(a+b)^3 - 3ab(a+b) to determine the product of the two numbers if the sum of the cubes of the two numbers is 152 and the sum of the two numbers is 8.
sqrt169 = 13
13*5 = 65
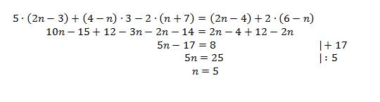
Welche Zahl ist "n" ?
Ein Skispringer beschleunigt auf einer Schanze in 4 s auf 86,4 km/m. Berechne seine Beschleunigung.
In the figure below, the horizontal lines are parallel and the bisectors of the two interior angles intersect at T.
Which is m?
Given A(6, -17), B(-6, 17), C(4, 9), D(-4, 4), the midpoint of which segment is at the origin?