Man dividiert einen Bruch durch einen Bruch, in dem man den ersten Bruch mit dem Kehrbruch (Kehrwert) des zweiten Bruches multipliziert.
1/3 : 1/2 = 1/3 * 2/1 = 2/3
1. M is the midpoint of Line AB and N is the midpoint of line AC, and T is the intersection of line BN and line CM, as shown. If, line BN is perpendicular to line AC, BN=12 and AC=14, then find CT.
Ich soll nun den Grenzwert bestimmen sofern einer vorhanden ist.
log(e) =0.4342944819032518...
ln(e) = 1
A rotating water sprinkler makes one revolution every 15 s. The water reaches a distance of 5 m from the sprinkler.
Man rechnet 60*7=420 und streicht dann die Null.
a. zeichne ein t-v diagram für den formel 1 wagen.
b. Berechne die Beschleunigung a1 für das Zeitintervall t gleich 0s und t gleich 1s.
c. Wie verändert sich die Beschleunigung a zwischen t gleich 6s und t gleich 10s
Wie lautet denn die Aufgabe? Die hat doch etwas mit dem waagerechten Wurf zu tun - oder?
Altitudes AX and BY of acute triangle ABC intersect at H. If angle BAC = 43 degrees and angle ABC = 67 degrees, then what is angle HCA?
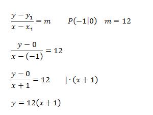
ye i also did the part where u use f(x')= 12 but i dont get where the x-1 come from