1. Let $f(x)=\left\lfloor\left(-\frac58\right)^x\right\rfloor$ be a function that is defined for all values of $x$ in $[0,\infty)$ such that $f(x)$ is a real number. How many distinct values exist in the range of $f(x)$?

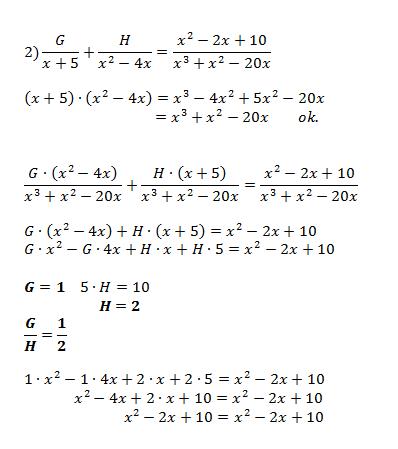
2. The integers $G$ and $H$ are chosen such that $\frac{G}{x+5}+\frac{H}{x^2-4x}=\frac{x^2-2x+10}{x^3+x^2-20x}$ for all real values of $x$ except $-5$, $0$, and $4$. Find $H/G$.

3. Let \[f(x) = \left\{ \begin{array}{cl} ax+3, &\text{ if }x>2, \\ x-5 &\text{ if } -2 \le x \le 2, \\ 2x-b &\text{ if } x <-2. \end{array} \right.\]Find $a+b$ if the piecewise function is continuous (which means that its graph can be drawn without lifting your pencil from the paper).


