130cm=1,3m
4000m*60m*1,3m = 312000m3
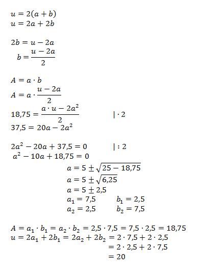
Wie lang sind die Seiten eines Rechtecks mit dem Umfang von 20cm und einem Flächeninhalt von 18,75cm²
verhältnis von 20cm zu 1,28*10^(7)m
5 : x = 0 |*x
5 = 0 Das ist eine falsche Aussage. Die Lösungsmenge ist leer. Die Gleichung hat keine Lösung.
4. center:( 13,7)
tangent to y=11
5. center lies in the second quadrant tangent to x= -14, y= -4, and x=8
6. ends of a diameter: (11,-6) and ( 1,14)
I'll send you the other solutions as well.
Identify the center and radius of each. Then sketch the graph.
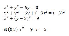
1. x ^2+y^2-6y=0
use the information provided to write the standard for equation of each circle.
1. center: (-13,-14)
radius:1
2. center: ( 15,-8)
area: 16 pi
3. center:(-2,9)
point on circle: (-5,18)
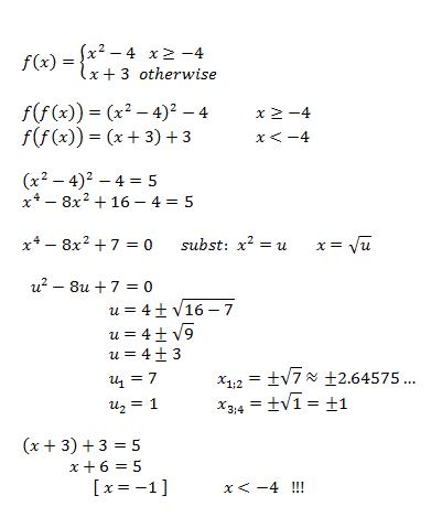
For how many values of x is f(f(x))=5?
15 : 55 = 0,2727272... = 27,27% abgerundet
13 : 55 = 0,2363636...= 23,64% aufgerundet
26 : 55 =0,4727272... = 47,27% abgerundet
oder so rechnen
x/100% = 15/55
x =15/55*100%
x = 27,27%
490/0.5 = 980
980/0.4 = 2450
490/(0.5*0.4) = 490/0.2 = 2450