Pi ist die Kreiszahl. Teilt man den Umfang eines Kreises durch seinen Durchmesser erält man pi.
https://www.google.de/search?source=hp&ei=S1cfXo3KOI2RmwWvxL_wCw&q=was+ist+pi&oq=Was+ist+pi&gs_l=psy-ab.1.1.0l10.1954.5649..9015...0.0..0.435.2292.0j8j2j0j1......0....1..gws-wiz.....0..0i131.Mq5wll3c61c
A sphere is inscribed in a cube with an edge of 10. What is the shortest possible distance from one of the vertices of the cube to the surface of the sphere?
That's how you write in physics.
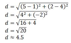
How far apart were the two artifacts?
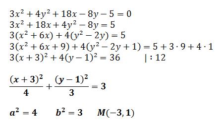
The general form of an ellipse is 3x^2+4y^2+18x−8y−5=0 .
What is the standard form?
25 h ==> x
38,5 h ==> 100%
x = 25 h *100% / 38,5 h
x = 64,935%
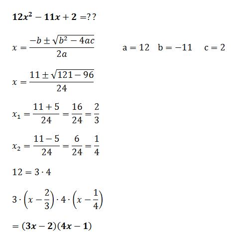
12x² - 11x+2 How do I factor this? Show all your work.
It's very simple like that.
9^6=9*9*9*9*9*9
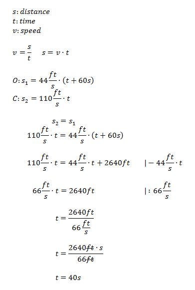
What is the distance (in feet) between the sailboat and the yacht? (Round to the nearest foot)
(a+7)^2+(a+4)^2 1.Binomische Formel 2-fach anwenden
=a^2+14a+49+a^2+8a+16
=2a^2+22a+65