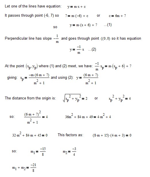
Rewrite l_1 in the form y = -(3/4)x - 14/4 Its slope is -3/4, which means the slope of a line perpendicular to it has slope m = +4/3.
Thus, line L_2 can be written as y = 4x/3 + b
If it goes through point (-5, 7) then we must have 7 = 4*(-5)/3 + b.
Can you take it from here?