If real numbers x and y satisfy (x+5)^2+(y-12)^2=14^2, then what is the minimum value of x^2+y^2?
This graph should help:
Like so:
See https://web2.0calc.com/questions/help_32917#r1
The absolute value of sin3(x) is always going to be less than or equal to that of sin2(x), so the difference will be negative or zero. The minimum will occur when sin(x) = -1, so the range will be -2 <= sin3(x) - sin2(x) <= 0.
10 play both instrument and sport. Choose a sport person from 12 and there is a 10 in 12 probability that that person also plays an instrument.
Hence probability = 10/12 = 5/6
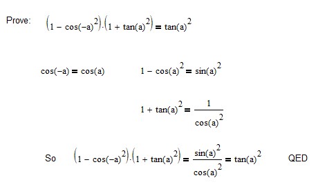
Here's (a):
Now see if you can do (b).
Try x = 416
Let g be girls age, then:
g = (3/7)*(g + 4)
Multiply by 7:
7g = 3(g + 4)
Can you take it from here?
The sum of four consecutive integers is 34. What is their product?
Let the smallest be n.
n + (n+1) + (n+2) + (n+3) = 34 or
4n + 6 = 34