When g(x) is divided by x^2-x-6 , the remainder is x+5.
What is the value of g(3)?
You can write g(x) = p(x)*(x^2-x-6) + x+5 where p(x) is some other polynomial.
When x = 3 x^2-x-6 = 0, so all that is left of g(3) is 3 + 5. i.e. g(3) = 8
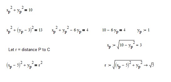
Triangle ABC has vertices A(0, 0), B(0, 3) and C(5, 0). A point P inside the triangle is sqrt(10) units from point A and sqrt(13) units from point B. How many units is P from point C? Express your answer in simplest radical form.
ABC is an equilateral triangle with side length 6. Arcs are drawn centered at the vertices, connecting the midpoints of consecutive sides as shown. Find the area of the “triangular” region in the middle.
Three people are to be chosen from a pool of 20 qualified applicants, 10 of whom are men, and 10 are women. What is the probability that all three chosen people are women?
p = (10/20)*(9/19)*(8/18) = 2/19
The sum of five different positive integers is 320. The sum of the greatest three integers in this set is 283. The sum of the greatest and least integers is 119. If x is the greatest integer in the set, what is the positive difference between the greatest possible value and least possible value for x?
I think EP meant to write:
3 (14) - 7(13) + 2 (12) - b(1) + 1 = 1 All the x's should be replaced by 1's. Now find b.
18 and 24
What are the first 10 digits after the decimal point (technically the hexadecimal point) when the fraction 1/7 is written in base 16?
Let p be the number of pears sold in the morning. Then:
p + 2p = 360
I'm sure you can solve this for p.
As follows: