If f(n) = 3f(n-2) - 2f(n-1) and
f(1) = -1
f(2) = 3
We can simply continue:
f(3) = 3f(3-2) - 2f(3-1) = 3*(-1) - 2*3 = -9
f(4) = 3f(4-2) - 2f(4-1) = 3*3 - 2*(-9) = 27
f(5) = 3f(5-2) - 2f(5-1) = 3*(-9) - 2*27 = -81
More generally:
f(n) = (-1)n*3(n-1)
As follows:
The specific coordinates of P and Q I should just have labelled xP, yP, xQ and yQ rather than xOP etc. but, hopefully, you will get the idea!
Here's another way of looking at the problem:
Probability he will roll no 1's = (5/6)3.
Probability he will roll exactly one 1 = 3*(1/6)*(5/6)2.
Hence probability he will roll at least two 1's = 1 - ((5/6)3 + 3*(1/6)*(5/6)2) = 2/27
Let d = initial amount that both have. We are told that:
d + 82 = 5*(d - 82)
d + 82 = 5d -5*82
Subtract d from both sides and add 5*82 to both sides to get
6*82 = 4*d
so d = 6*82/4 = $123
Hence final amount Nicole had = $123 + $82 = $205
I think there are four possibilities for A; see https://web2.0calc.com/questions/triangles-abc-and-ade-have-areas-2007-and-7002-respectively#r3
Thinking about it more carefully, I get more solutions, because:
Distance between home and store L = 6mph*(5/6)h = 5m
Total distance travelled = 10m
Time for return trip = 5m/(12mph) = 5/12h
Total time = (5/6)h + (5/12)h = 15/12h = 5/4h
Average speed = Total distance/Total time = 10m/(5/4h) = 40/5mph = 8mph
Here is an alternative approach:
In 4x + 12, both 4x and 12 are divisible by 4, so 4 is the common factor. One can factor 4x + 12 as 4*(x + 3).
I have no idea what you are on about in the rest of your question!
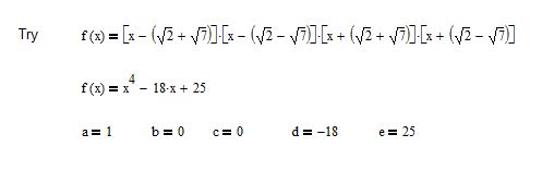
How about the following:
I'll leave you to think about part 2.