This problem is neatly solved by Presh Talwalker on YouTube. Search for "Mind Your Decisions. The chord progression problem."
Nicely done heureka - a more elegant solution than mine!
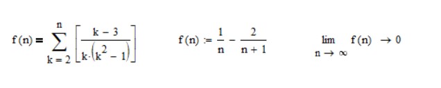
For the first one, note that the term 3n5/(4n5 + 1) gets very close to 3/4 by the time n has reached 10 or so. What that means is that the sum consists of an infinite number of values that are all very nearly 3/4. Adding an infinite number of 3/4 results in an infinite sum.
My result is as follows:
Though there must be a simpler way!
"Coin A is flipped three times and coin B is flipped four times. What is the probability that the number of heads obtained from flipping the two fair coins is the same?"
I get the following:
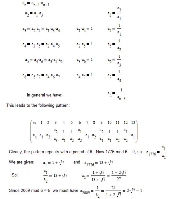
Edit: Item number 3 in the list above should be a2/a1 not a2/a3 !
The two equations are:
-3 - 4t = -4 + 8s (1) and 0 + t = k - 2s (2)
Rearrange these as follows:
from (1): t = 1/4 - 2s
from (2): t = k - 2s
So k = 1/4
Hmm! MathCad gives the following result:
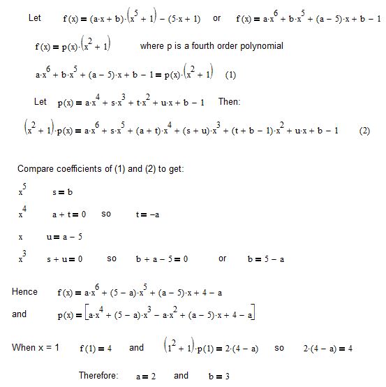
Here's my attempt at #2:
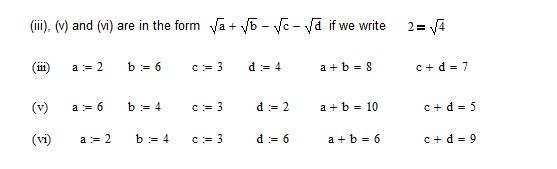
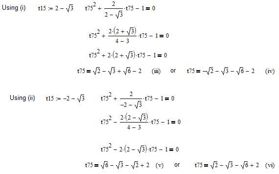
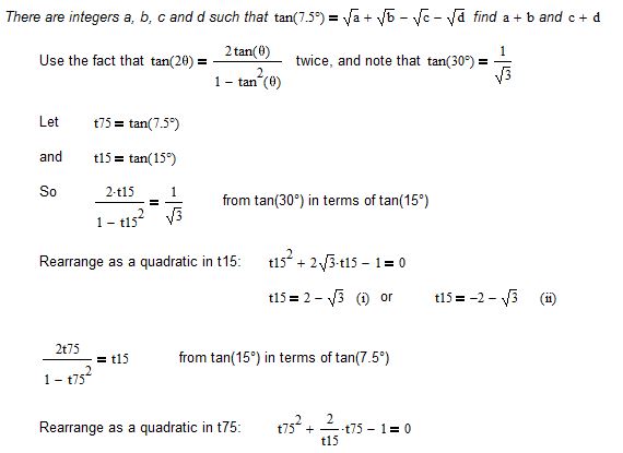
I should note that only the first result (ie a=2, b=6, c=3, d=4) matches tan(7.5°).