1616+1616+1616+1616 → 4*1616 → 22*(24)16 → 22*2(4*16) → 22*264 → 2(2+64) → 266
so x = 66
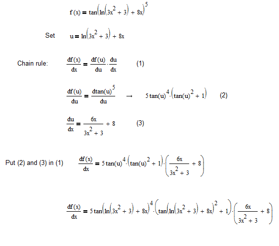
.
As follows:
I think you meant to put the condition -1 < x < 1 Max; but notice your statement is only true if n is infinite.
41% can be written as 41/100, so you have :
x*41/100 = 1927 Multiply both sides by 100 and divide both sides by 41 to get:
x = 1927*100/41 or x = 4700
Try the same approach with the other problem (noting that 6% is 6/100).
The following image should help:
gibsonj338's other result requires a negative radial distance. Difficult to visualise what this means!!
You asked this question here: https://web2.0calc.com/questions/consider-the-rational-function-p-5-125-000v2-449 and it was answered there.
If you register with the site you will find it easier to search for your earlier questions, instead of feeling the need to ask the same question again.
x+x^2+x^3+...x^n → x(x^n - 1)/(x - 1)
Like so:
a. As long as a is not -1/2 then there will always be a term in x4, so fourth order is the largest possible.
b. If you choose b = -1/2 then the x4 and x2 terms vanish and you are left with a linear expression (I.e. first order).
This was asked and answered here:
https://web2.0calc.com/questions/find-t-if-the-expansion-of-the-product-of-x-3-4x#r1