No need to feel dumb; hindsight is a wonderful thing!
Like so:
(Note that any matrix multiplied by the identity matrix stays as itself.)
There are 4 of them:
23 37 53 73
The others have either a 1 or a 9 or an even number (>2) in them.
The discriminant must be greater than zero, so:
15^2 - 4*8*c > 0
225 - 32c > 0
This will be the case for c = 1, 2, 3, 4, 5, 6 and 7
The product is 7! → 5040
\(\sum_{k=1}^{50}k^k=\)
8948298532620477012317180002541949344142954252890052803...
627765484931151082399454417125
(The dots just mean continued on the next line.)
We have \((1+kX)^n\rightarrow 1+nkX+\frac{n(n-1)}{2}(kX)^2+...\)
So \(nk=-4\\\frac{n(n-1)}{2}k^2=\frac{15}{2} \)
You now have two equations for two unknowns. Can you take it from here?
The straight line must be tangent to the parabola.
Equate the two functions:
\(x^2+2x+7=6x+b\\x^2-4x+7-b=0\\\)
The discriminant must be zero if there is to be a single solution, so
\((-4)^2-4(7-b)=0\\-12+4b=0\\b=3\)
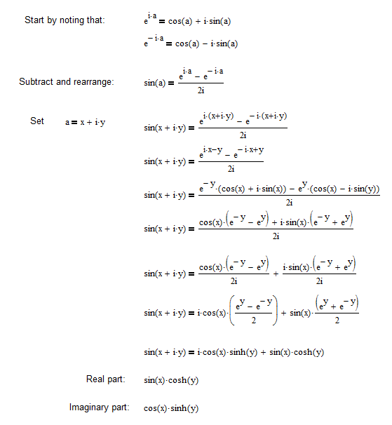
"what is real and imaginary part in sin(x+iy)? and its solution?"
.
What's the mean? What's the standard deviation? What's the distribution?!!
We need more information than you have provided.
This should help you visualize the equation: